Resultados
En la Tabla 1 se resumen los valores obtenidos por cpp y SUR para cada una de las 20 imágenes estudiadas, en las tres regiones de interés. Para los valores de cpp de la población, se obtuvo un promedio de 78,28 cpp (DE: 33,35) para el núcleo caudado, 82,97 cpp (DE: 31,53) para el globo pálido; y 82,40 cpp (DE: 32,19) para el putamen. Con respecto a los valores de SUR, los promedios fueron de 0,28 (DE: 0,27) para el núcleo caudado; 0,36 (DE: 0,22) para el globo pálido; y 0,35 (DE: 0,20) para el putamen.
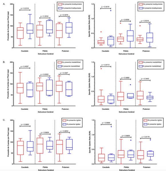
En la Tabla 2 se resumen los valores de p obtenidos a partir de las distintas pruebas estadísticas realizadas sobre las comparación de los valores de cpp y SUR en los grupos de acuerdo al sexo, los signos clínicos y la lateralidad.
En las figuras 1 y 2 aparece la representación gráfica de los valores obtenidos para las estructuras a estudiar y las características clínicas.


Además, se creó una imagen promediada de todas las imágenes de SPECT con 99mTc-TRODAT-1 de la muestra seleccionada y se sobrepuso con una imagen anatómica cerebral (RM en secuencia T1) en el espacio estandarizado de manera que se puede observar la captación del radiofármaco en los núcleos basales, en diferentes cortes axiales (Fig. 3).




