Radiofármacos basados en el anticuerpo monoclonal humanizado Nimotuzumab
Anaís Prats Capote1, René Leyva Montaña1, Alejandro Perera Pintado1.1 - Centro de Isótopos, San José de las Lajas, Mayabeque, Cuba..
Resumen
El receptor del factor de crecimiento epidérmico resulta un blanco atractivo en el desarrollo de radiofármacos para el manejo de tumores de origen epitelial que sobreexpresan dicho antígeno. Diferentes anticuerpos monoclonales dirigidos contra este blanco han sido empleados para estos fines, entre ellos el nimotuzumab desarrollado por el Centro de Inmunología Molecular (Cuba). El objetivo del presente trabajo fue mostrar el estado del arte de la marcación del nimotuzumab con diferentes radionucleidos y algunas de sus aplicaciones como radiofármacos. Para inmuno-SPECT el nimotuzumab ha sido marcado con 99mTc, empleando derivados de DTPA y HYNIC y, de forma directa, usando complejos carbonílicos y por el método de Schwarz. También se han reportado marcaciones con 67Ga y 89Zr, este último para inmuno-PET; para radioinmunoterapia se ha marcado con 111In, 188Re, 90Y, 177Lu y 225Ac. Existe un aumento de las investigaciones para obtener radiofármacos para la imagen molecular y la terapia a partir de nimotuzumab, dadas sus probadas ventajas como anticuerpo.
Palabras clave: nimotuzumab, marcación, radiofármaco.
Summary
Epidermal growth factor receptor is an attractive target for the development of radiopharmaceuticals for the management of epithelial-derived tumors that overexpress this antigen. Several monoclonal antibodies directed against this target have been employed for such purpose, nimotuzumab among them, developed in the Center for Molecular Immunology (Cuba). The aim of the present work was to describe the state of the art labeling of nimotuzumab with different radionuclides and some of their applications. Nimotuzumab has been labeled with 99mTc using DTPA and HYNIC derivatives, and directly using carbonyl complexes and by Schwarz’s method for immune-SPECT. Labeling with 67Ga y 89Zr, the last one for immune-PET, has been also reported, while it has been labeled with 111In, 188Re, 90Y, 177Lu and 225Ac for radioimmunotherapy. There is an expanding research to obtain radiopharmaceuticals for molecular imaging and therapy based on nimotuzumab, due to the advantages of this antibody.
Key words: nimotuzumab, labeling, radiopharmaceutical.
Introducción
El receptor del factor de crecimiento epidérmico (EGFR) ha constituido un blanco muy atractivo al abordar el enfrentamiento a los tumores sólidos de origen epitelial, pues se encuentra sobreexpresado en la membrana celular de la mayoría de ellos y está relacionado con el comportamiento maligno de las neoplasias, la proliferación celular descontrolada, la evasión del proceso de apoptosis, la migración celular y la angiogénesis(1,2).
Durante estos años, se han desarrollado diferentes anticuerpos monoclonales (AcM) capaces de inhibir, a través de diferentes mecanismos, la unión entre el EGFR y su ligando natural, algunos de los cuales han sido introducidos en la práctica clínica(1,3). Una de estas biomoléculas es el nimotuzumab, anticuerpo monoclonal humanizado anti-EGFR, desarrollado por el Centro de Inmunología Molecular, La Habana, Cuba(1,4). Esta inmunoglobulina reconoce un epitopo localizado en el dominio extracelular del receptor, inhibiendo la unión del factor de crecimiento epidérmico a éste(3,5); lo cual incide en su actividad antiproliferativa, antiangiogénica y proapoptótica(6). Muestra ventajas respecto a otros anticuerpos anti-EGFR, entre las que se destacan la ausencia de eventos adversos severos y la baja toxicidad cutánea(2,3,5), lo cual se ha atribuido, por una parte, a su menor afinidad por el EGFR(3,5,7) y, por otra, a su capacidad de unirse, preferentemente, a las células malignas, donde la expresión de este receptor es mucho mayor, respecto al tejido sano circundante(7,8). Esto ha favorecido su amplia aceptación en la práctica clínica, que ha permitido su registro sanitario en 27 países para indicaciones que incluyen la terapéutica de diversas patologías malignas, como las neoplasias de cabeza y cuello; los gliomas, tanto en adultos, como en pacientes pediátricos; los tumores nasofaríngeos y esofágicos. Además, se realizan actualmente ensayos clínicos relacionados con el tratamiento del cáncer colorrectal, el carcinoma de páncreas, de cérvix, de mamas y el cáncer de pulmón de células no pequeñas(5).
Este anticuerpo monoclonal marcado con diferentes radionucleidos, daría como resultado radiofármacos promisorios tanto para la selección de pacientes candidatos a inmunoterapia, como el tratamiento de los tumores malignos mediante radioinmunoterapia, dependiendo de las características del radionucleido empleado. El presente trabajo ha estado dirigido a mostrar el estado del arte de la marcación del anticuerpo monoclonal nimotuzumab con diferentes radionucleidos, así como algunas de sus aplicaciones.
Métodos de marcación de anticuerpos
Independientemente del radionucleido seleccionado, la técnica de marcación de anticuerpos debe ser rápida y fácil de realizar, el rendimiento de la marcación y la actividad específica deben ser elevados, la biomolécula debe preservar sus propiedades biológicas o inmunológicas, el enlace entre la biomolécula y el radioisótopo debe ser suficientemente fuerte, y los reactivos empleados deben ser estables, de fácil adquisición y no tóxicos(9).
Se han empleado diversos métodos de marcación de biomoléculas, los cuales, de forma general, pueden dividirse en dos grandes grupos: las técnicas directas y las indirectas, dependiendo de que el radionucleido se enlace a grupos endógenos de la molécula o a agentes exógenos, respectivamente(9,10). Los métodos de marcación indirecta pueden llevarse a cabo por dos vías: 1) conjugando el AcM a un grupo prostético y, posteriormente, realizar la marcación del inmunoconjugado; 2) marcando el grupo prostético, para luego enlazarlo a la biomolécula(9,10).
Nimotuzumab marcado para estudios diagnósticos en Medicina Nuclear
El nimotuzumab ha sido marcado con diferentes radionucleidos emisores de radiación gamma o de positrones, que permiten la obtención de una imagen molecular mediante tomografía por emisión de fotón único (SPECT) o tomografía por emisión de positrones (PET), respectivamente.
A) Marcación con Tecnecio-99m (99mTc)
Para la marcación del nimotuzumab con 99mTc, se han empleado métodos indirectos y directos; describiremos los más importantes.
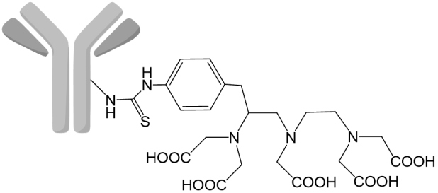
En el caso de los métodos indirectos se emplean agentes quelantes bifuncionales, capaces de enlazarse por uno de sus extremos a grupos funcionales de la proteína como los aminos y los carboxilos; mientras que, por el otro, se forma un complejo de elevada estabilidad con el radiometal. Mishra AK y colaboradores (2002), emplearon el ácido S-2-(4-isotiocianatobencil)-dietilentriamino pentaacético (p-SCN-Bn-DTPA) para la marcación indirecta del nimotuzumab(11) (fig. 1), con elevados rendimientos (94.80±1.25%) y una estabilidad satisfactoria: 5.0 % de transquelación en una disolución 1.0 mM de cisteína durante 1 h a 37 °C. En este caso el grupo tiocianato presente en el agente quelante, permite la unión a un amino terminal del AcM, mientras que, respecto al uso de otros derivados del ácido dietilentriamino pentacético (DTPA) como el dianhídrido cíclico o el anhídrido mixto de dicho ácido policarboxílico, mantiene un carboxilo adicional, que permite completar la esfera de coordinación del radiometal, lo cual brinda mayor estabilidad al complejo(11). El anticuerpo mantuvo su integridad y conservó su actividad biológica después de la conjugación y la marcación, no se produjeron agregados moleculares, ni fragmentación de la inmunoglobulina(11). Estudios realizados en ratones desnudos xenoinjertados con células de glioblastoma multiforme U-87 y células de tumor de mamas MDA-MB-468 mostraron menor incorporación en el sistema retículo endotelial, respecto al anticuerpo marcado de forma directa y no se detectó radioactividad en intestino delgado 24 h postadministración, lo que sugiere una adecuada estabilidad in vivo del radioinmunoconjugado(11). Este tipo de derivado de DTPA ha sido empleado, además, para formar compuestos de coordinación con otros radionucleidos como el 111In, 153Sm, 90Y y 188Re (11). Un ejemplo de ello es el uso de este agente quelante bifuncional, para la obtención del radioinmunoconjugado de 90Y con el AcM HMFG1, empleado en la radioinmunoterapia (RIT) de pacientes con cáncer de ovario(12).

Perera y colaboradores propusieron el empleo de otro derivado del DTPA: la N2-dietilentriamino pentaacetil lisina amida (NH2-Lys-DTPA), que puede ser obtenida de forma, relativamente barata, mediante síntesis en fase sólida y donde los grupos donantes de electrones de la lisina pudieran contribuir a aumentar la estabilidad del quelato formado por esta molécula con el tecnecio(13). El rendimiento de la marcación, con 99mTc, del anticuerpo monoclonal nimotuzumab conjugado fue de (98.6 ± 1.4%) . El radioinmunoconjugado se incubó hasta 24h con un exceso molar de L-cisteína de 300 respecto al anticuerpo, lo cual supera en varias veces la concentración de este aminoácido en sangre y tejidos, sin que se detectara una diferencia significativa en cuanto al porcentaje de disociación del radiometal respecto a la muestra control hasta las 3 h; sin embargo, a las 24 h la transquelación hacia el aminoácido fue significativa(13). La mayor limitante que presenta el empleo de la NH2-Lys-DTPA está dada por la cantidad de pasos involucrados en la conjugación entre esta molécula y la proteína, que implica varias etapas de purificación y encarece el proceso de escalado para obtener kits fríos liofilizados(13).
El ácido 6-hidrazinonicotínico (HYNIC) y sus derivados, son otro grupo de agentes quelantes bifuncionales comúnmente utilizados en la marcación indirecta de biomoléculas con 99mTc(14,15). La reacción del HYNIC con la inmunoglobulina ocurre mediante la formación de un enlace amida a partir de la reacción del grupo éster activado del HYNIC con, por ejemplo, el grupo ε-amino de las lisinas presentes en el AcM(14,15). El HYNIC solamente puede establecer hasta dos enlaces de coordinación con un metal, por lo que es necesario completar la esfera de coordinación utilizando coligandos adicionales, como la tricina o el ácido etilendiaminodiacético (EDDA), entre otros(14). Esta variante de marcación con 99mTc, resulta muy atractiva, pues se obtienen radioconjugados con elevados valores de pureza radioquímica, en condiciones suaves, que no afectan la actividad biológica, y con una adecuada estabilidad in vivo(14,15). Sin embargo, los derivados del HYNIC pueden descomponerse por acción de la luz y, además, debido a la alta reactividad nucleofílica del grupo hidrazino, deben encontrarse adecuadamente protegidos, antes de realizar la síntesis de los bioconjugados(14-16). Uno de los grupos protectores recientemente reportados es el trifluoroacetilo (TFA), el cual permite la desprotección del hidrazino durante el proceso de reducción del Tc(VII) en presencia de SnCl2 y tricina, lo cual posibilita obtener una mayor eficiencia de marcación(15).
Tanto el nimotuzumab como su fragmento (Fab) han sido marcados empleando el ácido succidinimil 6-(trifluoroacetil)hidrazinonicotinamida (NHS-HYNIC-TFA) y Tricina como coligando, de una manera rápida, sencilla y eficiente(17), con resultados comparables a los obtenidos por este método con otros anticuerpos monoclonales(18,19) (fig. 2).

Otra variante explorada entre los métodos indirectos de marcación del nimotuzumab ha sido a través de la formación previa de complejos 99mTc-tricarbonílicos [99mTc][Tc(CO)3]+, en los cuales el tecnecio se presenta con estado de oxidación +1 (20). Este método ha sido empleado en la marcación de moléculas peptídicas y anticuerpos, obteniéndose complejos estables y con elevada actividad específica(21-24).
Algunos autores han propuesto a los iones [99mTc][Tc(CO)3(H2O)3]+ como muy atractivos para la marcación de biomoléculas sensibles, debido a la combinación de la alta eficiencia de la obtención, en un solo paso, del complejo carbonílico, y las suaves condiciones de reacción entre este ion y la molécula de interés(20,21)(fig. 3). El [99mTc]Tc(CO)3-nimotuzumab se obtuvo por vía directa, a 37 ºC durante 30 min con una pureza radioquímica de (93±4) %, y mostró una adecuada estabilidad frente a diferentes concentraciones de L- histidina, como agente transquelante y una actividad biológica conservada(20).

A pesar de la buena estabilidad de los radioinmunoconjugados obtenidos por los métodos indirectos, éstos son engorrosos, consumidores de tiempo y reactivos, por lo que se prefiere, siempre que sea posible, la mayor sencillez de los directos.
El método de Schwarz es una variante de marcación directa, en la cual el anticuerpo intacto es tratado con 2-mercaptoetanol (2-ME) o 2-aminoetanotiol (2-AET), para reducir los enlaces disulfuros, convirtiéndolos en grupos tioles, que se unen eficientemente al 99mTc por intercambio de ligandos con un complejo débil de este radiometal, como el [99mTc]Tc-pirofosfato, el [99mTc]Tc-difosfonato, el [99mTc]Tc-gluconato, entre otros(9) (fig. 4). Con esta metodología se logra un alto rendimiento (>95%) a temperatura ambiente y no se requiere de un paso posterior de purificación, lo cual facilita su escalado a la producción de kits liofilizados(9,25,26).

Este método ha sido el más empleado para la marcación con 99mTc del nimotuzumab, usando una relación molar de AcM:2ME de 1:2000 y acomplejantes débiles como el MDP o el pirofosfato de sodio decahidratado, se obtuvo una pureza radioquímica de (98.5±1.5) %, con menos del 1.5 % de radiocoloides; se mantuvo la inmunoreactividad de la molécula y se logró una alta incorporación in vivo del anticuerpo marcado al tumor(25,26). El producto marcado resultó estable en solución hasta las 24 h(26). Morales y colaboradores reportaron que los resultados de marcación, obtenidos mediante esta metodología, son comparables con los obtenidos, previamente, con su variante múrida (ior egf/r3)(27), que se encontraba introducida en la práctica clínica(28,29). El [99mTc]Tc-nimotuzumab marcado de forma directa por el método de Schwarz, se ha empleado de forma satisfactoria como radiofármaco para el estudio de diferentes neoplasias malignas mediante la inmuno-tomografía por emisión de fotón único (inmuno-SPECT)(30,32).
Torres y colaboradores (2005) reportaron que el [99mTc]Tc-nimotuzumab, administrado por vía endovenosa es un radiofármaco seguro para su empleo en la clínica(33). En este estudio, se observó que el hígado era el principal órgano diana, debido a la elevada expresión de EGFR en el tejido, con un pico después de una hora de administrado y una alta retención(33). Estos resultados influyeron en la elección de la vía loco-regional de administración para la radioinmunoterapia de pacientes con gliomas de alto grado de malignidad, empleando [188Re]Re-nimotuzumab(34).
Hoy día, el [99mTc]Tc-nimotuzumab, está siendo empleado para la selección de los pacientes mejores candidatos a la inmunoterapia con dicho anticuerpo monoclonal(35,37).
B) Marcación con Galio-67 (67Ga)
El galio-67 ha sido propuesto, por sus características nucleares (T½ = 78.25 h, Eg = 93, 184, y 300 keV), para el estudio de la biodistribución del nimotuzumab en pacientes con mesotelioma pleural maligno y para su posible empleo como teranóstico(38). En estudios preliminares, se llevó a cabo la conjugación del nimotuzumab con el anhidrido del ácido dietilentriamino pentaacético (DTPA) como agente quelante bifuncional, para la posterior formación del complejo con 67Ga(38). El radioinmunoconjugado obtenido mostró una pureza radioquímica de (92.4±1.4) %, con una estabilidad de (98±2) % al ser incubado en suero humano a 37 ºC durante 72h, sin que se afectara la integridad de la molécula, ni su inmunoreactividad(38). Los resultados obtenidos en ratones desnudos xenoinjertados con células de mesotelioma pleural maligno, mostraron una incorporación del radioinmunoconjugado al tumor de alrededor del 1.5% de la dosis administrada y una relación tumor/hígado superior a 5.5 prácticamente constantes hasta las 48h horas después de la inyección endovenosa del anticuerpo marcado(38). Estos autores concluyeron que se necesitan más estudios para explorar el uso clínico de este radioinmunoconjugado como biomarcador teranóstico en pacientes con esta enfermedad maligna(38).
C) Marcación con Zirconio-89 (89Zr)
Dada la elevada sensibilidad y resolución espacial de la tomografía por emisión de positrones (PET), las imágenes con anticuerpos marcados, aplicando esta técnica de imágenes, han ido cobrando mayor interés en los últimos años(39). En este sentido, el 89Zr, gracias a sus características físicas (T½= 78 h, Ebmax= 902 keV, 22.8%), disponibilidad en el mercado con elevada pureza radioquímica, así como los altos rendimientos y estabilidad de las marcaciones, se ha convertido en una radiometal de gran popularidad para la preparación de biomoléculas marcadas(39,40). La resolución espacial de sus imágenes de PET con este radioisótopo es comparable con las obtenidas con 18F, debido a la baja energía máxima de los positrones que emite(40).
Diferentes anticuerpos monoclonales han sido marcados con 89Zr y se plantea, que la aplicación de la inmunotomografía por emisión de positrones (inmuno-PET) con estos radiofármacos puede llegar a convertirse en una herramienta teranóstica relevante para la selección de los pacientes, previo a la aplicación de la inmunoterapia(41). En particular, el nimotuzumab ha sido marcado con este radioisótopo, empleando el 1-(4-isotiocianatofenil)-3-[6,17-dihidroxi-7,10,18,21-tetraoxo-27-(N-acetilhidroxilamino)-6,11,17,22- tetraazaheptaeicosino] tiourea (p-SCN-Bn-Deferoxamina) como agente quelante bifuncional(42-45). En este compuesto, el grupo isotiocianato se enlaza a las aminas primarias de las lisinas presentes en la biomolécula y es capaz de formar un complejo estable de número de coordinación 6 con el [89Zr]Zr+4, empleando sus seis oxígenos donores de los tres grupos hidroxamatos(44) (fig. 5).

Duvenhage y colaboradores obtuvieron el inmunoconjugado empleando una relación molar entre la inmunoglobulina y el agente quelante de 1:2(45), mientras que otros autores emplearon un exceso molar mayor del quelante bifuncional (1:10)(43,44), siempre incubando una hora a 37 ºC. La estabilidad de los inmunoconjugados fue seguida hasta seis meses después de obtenidos y almacenados a temperaturas de -4 ºC y -80 ºC, con muy buenos resultados(43). En todos los casos, los rendimientos de marcación estuvieron alrededor del 90%, lográndose una pureza radioquímica del radioinmunoconjugado superior al 98% después de la purificación(42-45). Tang y colaboradores realizaron un estudio extensivo de las condiciones de marcación del anticuerpo nimotuzumab con 89Zr, en el cual se valoraron diversos factores, tales como los reactivos, el pH, los tiempos de marcación, la temperatura y el medio empleado en la purificación(44). El radioinmunoconjugado obtenido mostró una estabilidad en solución del 90% mantenido durante 24 h a temperatura ambiente, valor que aumentaba si se mantenía el radiofármaco a 4 ºC(43). Igualmente, se evaluó la estabilidad en diferentes soluciones buffers y en suero humano a 37 ºC durante cinco días, con una estabilidad de (99±2%) transcurrido ese tiempo(44). No se encontró afectación de la inmunoreactividad de la biomolécula como consecuencia de la conjugación, ni de la marcación(43-44). Se realizaron estudios in vivo en ratones desnudos sanos(45) y xenoinjertados con células neoplásicas de glioma humano(44), de cáncer de mama y de carcinoma de colon(43). Los estudios en el modelo de tumor se siguieron durante cinco días con buena estabilidad in vivo del radioinmunoconjugado(43,44). La estimación de la dosis que recibiría un humano al administrarse este radioinmunoconjugado, sugirió que se recibiría una dosis absorbida hasta tres veces inferior a la reportada para otros AcMs anti-EGFR, como el trastuzumab y el panituzumab, marcados con el mismo radiometal(43). Los resultados alcanzados con este radioinmunoconjugado resultaron prometedores para la realización de estudios clínicos, y a inicios de 2020 la Universidad de Saskatchetwan, Canadá, comenzó la inclusión de pacientes en un ensayo Fase I-II para la evaluación la utilidad de las imágenes de inmuno-PET con [89Zr]Zr-Deferoxamina-nimotuzumab, en pacientes con cáncer de pulmón y colorrectal(46).
A modo de conclusión de esta primera parte relacionada con el desarrollo de radiofármacos basados en el anticuerpo monoclonal humanizado nimotuzumab para la imagen molecular, se puede plantear que el mayor número de éstos son los dirigidos a los estudios de SPECT. Esto se debe a que es una técnica más barata y disponible a nivel internacional(47). En este sentido, el radionucleido más empleado en la marcación de esta biomolécula ha sido el 99mTc, gracias a sus ventajas respecto a otros radionucleidos emisores de radiación g, siendo el [99mTc]Tc-nimotuzumab marcado por vía directa, el único que se ha aplicado a pacientes en ensayos clínicos(32,33,35,36,37). No obstante, aún este radiofármaco no ha sido aprobado por entidad regulatoria alguna, a pesar del número elevado de pacientes estudiados y la potencial utilidad del mismo en la planificación y seguimiento de la inmunoterapia con este anticuerpo monoclonal(33,35,36,37). El corto período de semidesintegración del 99mTc (T½ = 6.02h), respecto a la vida media biológica de las inmunoglobulinas en sangre, pudiera ser considerado un pequeño obstáculo a tener en cuenta, pero que no ha influido, de forma significativa, en su empleo. El 89Zr, a pesar de ser un isótopo caro, posee un período de semidesintegración mayor (T½ = 78h), que permite la realización de imágenes tardías, cuando existe un menor fondo por anticuerpo circulante en sangre, lo cual, sumado a la emisión de positrones de baja energía, permite la realización de estudios de inmuno-PET, que brindan mayor resolución y calidad de las imágenes, respecto al inmuno-SPECT(39,40). Precisamente esto ha incidido en el creciente interés en las investigaciones con [89Zr]Zr-nimotuzumab en los últimos años(43-45).
Nimotuzumab marcado para aplicaciones en terapia
La radioinmunoterapia (RIT) ha ido ganando espacio en el tratamiento de diferentes neoplasias(47). Para este fin, los AcMs han sido marcados con radionucleidos emisores de partículas β-, α o de electrones Auger. En este sentido el nimotuzumab no ha sido una excepción.
A) Marcación con Indio-111 (111In)
En los últimos tiempos se ha ido incrementando el interés por las potencialidades terapéuticas de los radioisótopos emisores de electrones Auger, como el 111In y el 125I, entre otros, debido a los elevados valores de la transmisión lineal de energía y su baja penetración en tejidos(48,49). En el caso particular de los anticuerpos monoclonales anti-EGFR esta estrategia cobra un mayor atractivo, debido a que el receptor de membrana, una vez unido a la inmunoglobulina, se internaliza, lo cual le permite al radionucleido descargar en el núcleo celular, prácticamente toda la energía de las partículas emitidas, produciendo un mayor efecto sobre el ADN, lo cual aumentaría la efectividad terapéutica(48-50).
Hasta el momento, la mayor parte de los estudios de AcMs marcados 111In, han sido dirigidos a la obtención de imágenes de inmuno-SPECT, como complemento teranóstico para seleccionar a los pacientes que potencialmente debieran responder mejor a la RIT con dichas biomoléculas conjugadas a 90Y o 177Lu (51). Por su emisión de electrones Auger, el 111In ha adquirido, recientemente, un renovado interés como radioisótopo terapéutico(49). Éste, respecto al 125I, por ejemplo, tiene la ventaja adicional de que emite radiación g con Eg= 171.28 keV (90.9% de salida) y 245.39 keV (94.0% de salida), que permite el visualizar la biodistribución del radiofármaco, facilitando la estimación de las dosis de radiación absorbidas por los tejidos y el tumor. Estas características han inclinado la balanza hacia de anticuerpos marcados con este isótopo en la radioinmunoterapia de neoplasias malignas(49).
Fasih y colaboradores emplearon como agente quelante bifuncional, para la marcación del nimotuzumab con 111In, el ácido S-2-(4-isotiocianatobencil)-dietilentriamino pentaacético (p-SCN-Bn-DTPA)(49). El inmunoconjugado se obtuvo, incubando al anticuerpo durante 1 h a temperatura ambiente frente a un exceso molar 15 veces superior del agente quelante respecto a la biomolécula a pH = 8.0, mientras que la radiomarcación se desarrolló en buffer acetato a pH=6.0(49). La inmunoreactividad de la inmunoglobulina no se vio afectada durante los procesos de conjugación y marcación, y el radioinmunoconjugado resultó estable en animales de experimentación con xenoinjertos de tumores de mama del tipo MDA-MB-468, con una captación específica de 8-16%(49).
B) Marcación con Iodo-131 (131I)
Existen varios procedimientos para la iodación de las biomoléculas(52). Los métodos directos se basan en la oxidación del ioduro I- hasta I+, que se une a los aminoácidos aromáticos de la proteína mediante sustitución electrofílica(52). Se ha reportado, fundamentalmente, el uso de dos métodos para la marcación del AcM nimotuzumab con 131I, los cuales se han basado en el uso de la Cloramina T(52,53) y del yodógeno(53) en calidad de oxidantes del ioduro. En ambos casos, se obtuvo una pureza radioquímica superior al 95%, después de la purificación del compuesto marcado mediante cromatografía de exclusión. Ni la actividad biológica ni la integridad de la molécula se vieron comprometidas, aunque estas propiedades fueron ligeramente mejor conservadas, cuando se empleó el yodógeno(53). La estabilidad in vitro a temperatura ambiente del radiofármaco obtenido fue satisfactoria durante 24 h(52), mientras que en los estudios en animales de experimentación, se observó una pequeña incorporación en tiroides hasta cinco días posteriores a la administración del compuesto marcado(53). No obstante, se requieren estudios ulteriores para evaluar mejor el [131I]I-nimotuzumab como posible agente radioinmunoterapéutico de diferentes neoplasias de origen epitelial(53).
C) Marcación con Renio-188 (188Re)
El renio se encuentra en el grupo 7 de la tabla periódica, por lo que muestra propiedades químicas similares al tecnecio, de ahí que muchos de los métodos de marcación de biomoléculas con 99mTc, han sido tomados de base para obtener anticuerpos marcados con los radioisótopos de renio(54-56). No obstante, desde el punto de vista termodinámico, los complejos de renio con estado de oxidación +7 son más estables, que sus análogos de tecnecio y, una vez reducido, este elemento muestra una marcada tendencia a su reoxidación, por lo que se necesitan cantidades superiores de agente reductor para realizar las marcaciones con radioisótopos de renio en comparación a los mismos procedimientos para el caso del 99mTc(56).
El nimotuzumab se ha marcado con 188Re siguiendo el método de Schwarz anteriormente referido(56,57). Perera y colaboradores reportaron el empleo de glucoheptonato de sodio como acomplejante débil y que la cantidad de dicho compuesto, presente en la formulación, influía significativamente en la eficiencia de la marcación del AcM con 188Re, lo cual se atribuyó a que el complejo [188Re]Re-glucoheptonato permitía estabilizar al renio pentavalente durante el tiempo requerido para que se formaran los enlaces de coordinación entre el radiometal y los grupos tioles de la inmunoglobulina(56). El ácido ascórbico se empleó como protector de la proteína contra los radicales libres formados por la radiólisis producida por las partículas b- (56,57). Un procedimiento similar fue reportado por Iznaga N y colaboradores(57). En ambos casos se lograron purezas radioquímica de [188Re]Re-nimotuzumab superiores al 98%, conservándose la integridad de la molécula y su inmunoreactividad después de la marcación. El [188Re]Re-nimotuzumab mostró una buena estabilidad en solución, en suero a 37 ºC, frente a excesos molares de cisteína y en estudios en animales de experimentación hasta las 48 h después de administrado(56,57). Altas dosis de este compuesto marcado administrado por vía endovenosa en ratas, no mostró efectos tóxicos en la médula ósea, ni en la sangre periférica(58). Se reportó, además, la toxicidad del [188Re]Re-nimotuzumab, así como la del producto obtenido por su desintegración ([188Os]Os-nimotuzumab) administrados por vía intracerebral(59,60).
Toda la información no clínica previa sobre el [188Re]Re-nimotuzumab propició la realización de un ensayo clínico fase I en pacientes con gliomas recurrentes de alto grado de malignidad(61), en el cual el radioinmunoconjugado se administró directamente en la cavidad tumoral y los resultados obtenidos fueron seguros y promisorios para el tratamiento de esta patología(61). Estudios de biodistribución y dosimetría interna llevados a cabo con dicho radiofármaco administrado por vía locorregional en estos pacientes, concluyeron que una actividad de 370 MBq era la dosis máxima tolerable para el tratamiento de dichas neoplasias, mientras que las dosis de radiación en otros órganos resultaban seguras(34). Los tumores cerebrales son difíciles de tratar, por lo que se ha recurrido mucho a la terapia con radionucleidos y el nimotuzumab marcado con 188Re resultó una variante promisoria, que se sumó a los esfuerzos por lograr un tratamiento adecuado de los mismos(62,63).
D) Marcación con Lutecio-177 (177Lu) e Itrio-90 (90Y)
La química del lutecio y el itrio es muy semejante y conocida; ambos forman compuestos con estado de oxidación 3+ y los métodos de marcación son muy similares(10,52). Desde el punto de vista terapéutico, la elección entre 90Y (emisor β- puro, Ebmáx=2280 keV, T½=2.7d, rango de penetración de 12 mm) o 177Lu (emisor β- y g, Ebmáx=498 keV, T½=6.7d, rango de penetración de 0.23 mm), estaría determinada por el tamaño de la lesión(52,62).
Los derivados del DTPA y del ácido 1,4,7,10-tetraazaciclododecano- 1,4,7,10-tetraacético (DOTA) han sido los agentes quelantes bifuncionales más empleados para la marcación de biomoléculas con radionucleidos metálicos trivalentes, principalmente radiolantánidos(64). Dentro de éstos, los que presentan los grupos funcionales N-hidroxisuccinimida (NHS) y 4-isotiocianatobencilo (p-SCN-Bn) han sido los de elección para la marcación del nimotuzumab con 90Y y 177Lu(52,64-69).
La obtención de los inmunoconjugados de nimotuzumab con p-SCN-Bn-DTPA, p-SCN-Bn-DOTA y NHS-DOTA demostró que la naturaleza del ligando no afecta la eficiencia de la conjugación(52,67,69). Incubando durante toda la noche a 4 ºC, se obtienen inmunoconjugados con alta pureza y baja agregación(69,70).
La estabilidad y la eficiencia de marcación de los diferentes radioinmunoconjugados si fue dependiente del ligando al que estuviese enlazado el AcM. Los estudios coinciden en que la mayor eficiencia de marcación y estabilidad in vitro e in vivo, con mayor reproducibilidad en los resultados, se obtenían para los radioinmunoconjugados con derivados de DOTA(52,64-69) (fig. 6). Esto se debe a que el DOTA forma complejos con los metales trivalentes más estables desde el punto de vista termodinámico y cinético(52).

Beckford y colaboradores reportaron que la pureza radioquímica del [177Lu]Lu-p-SCN-Bn-DOTA-nimotuzumab fue del (99.1±0.5) %, significativamente superior a la del [177Lu]Lu-p-SCN-Bn-DTPA-nimotuzumab (92.3±4.1) %(67). Otros factores que pueden influir en los resultados de la marcación son: la calidad del radionucleido (pureza radionucleídica > 99,9 %, actividad específica > 500 GBq/mg, concentración ≤ 37 GBq/mL), el volumen de la reacción, el pH y la calidad de los reactivos (que no deben contener impurezas de hierro)(69,70). Se obtienen por esta vía proteínas marcadas con alta actividad específica(52,67).
En animales de experimentación, los radioinmunoconjugados estudiados fueron estables; no obstante, los resultados de biodistribución más adecuados fueron obtenidos en el caso de que el nimotuzumab tenía enlazado entre 4-5 grupos de p-SCN-Bn-DOTA, para el cual resultó mejor la relación tejido hepático/sangre, sugestiva de mejor estabilidad in vivo, unido a una adecuada captación en tumor(52,64-69). En ratones xenoinjertados con diferentes tipos celulares de tumores que sobreexpresan el EGFR, a los cuales se les administró el [177Lu]Lu-p-SCN-Bn-DOTA-nimotuzumab por diferentes métodos, se reportó una mayor captación tumoral en el caso del empleo de la vía locorregional(52,69).
E) Marcación con Actinio-225 (225Ac)
El rango de penetración de la radiación β- va desde los pocos milímetros hasta pocos centímetros, en dependencia de su energía, lo cual dificulta la acción de las radiaciones sobre las células tumorales aisladas y daña, en cierta medida, a los tejidos sanos, como a la médula ósea, por ejemplo, lo cual limita potencialmente las dosis de radiación a administrar a los pacientes(71). Sin embargo, las partículas α tienen un rango de penetración del orden de los micrómetros, trayecto en el cual descargan una enorme cantidad de energía, lo que causa una mayor letalidad en las células neoplásicas(71). En el caso específico de los anticuerpos monoclonales con afinidad por el EGFR, ese efecto se ve potenciado gracias al proceso de internalización que presentan, una vez se unen al blanco en la membrana celular(49).
En principio, todas las moléculas que han sido radiomarcadas con radionucleidos emisores de partículas β-, pueden marcarse con isótopos que emiten partículas α, algunas veces, incluso, con el empleo de los mismos agentes quelantes bifuncionales(71). En este sentido, Khan y colaboradores reportaron la marcación del nimotuzumab con 225Ac, empleando como quelato bifuncional macrocíclico el p-SCN-Bn-MACROPA, un derivado del ácido 6-[[16-[(6-carboxipiridin-2-il)metil]-1,4,10,13-tetraoxa-7,16-diazaciclooctadec-7-il]metil]-piridina-2-carboxílico. Con este procedimiento obtuvieron una pureza radioquímica de [225Ac]Ac-MACROPA-nimotuzumab superior al 95%, sin que se afectara la inmunoreactividad de la inmunoglobulina y con aumento de la sobrevida media de ratones con injerto de tumores colorectales del tipo DLD-1-iRFP-702 de 40 días, respecto al control de solo 34 días 72. No obstante, se requieren de futuros estudios para una mejor evaluación de este promisorio radiofármaco.
A pesar de las múltiples investigaciones encaminadas al desarrollo de radiofármacos para la radioinmunoterapia de tumores de origen epitelial basados en el anticuerpo monoclonal humanizado nimotuzumab, son muy pobres los datos preclínicos y solo un ensayo clínico fase I con dicha biomolécula marcada con 188Re ha sido reportado(34,61). No obstante, podría resultar de interés en el futuro la continuación de los estudios dirigidos a validar los nuevos radiofármacos obtenidos a partir de la marcación de este anticuerpo con radionucleidos emisores de partículas β- como el 177Lu y el 90Y, así como de partículas α como el 225Ac. Sería recomendable evaluar la administración locorregional del producto marcado para las aplicaciones terapéuticas, con el objetivo de disminuir la captación hepática, debido a la elevada concentración del EGFR que muestra dicho órgano(33,34).
Conclusiones
A pesar de no existir ningún producto marcado basado en el anticuerpo monoclonal humanizado nimotuzumab aprobado por las agencias regulatorias, las ventajas de un compuesto de este tipo, tanto para la imagen molecular como para la radioinmunoterapia de los tumores de origen epitelial justifican el incremento de las investigaciones necesarias para obtener nuevos radiofármacos con estos fines.
Referencias
- Laskin JJ, Sandler AB. Epidermal growth factor receptor: a promising target in solid tumours. Cancer Treat Rev 2004; 30:1-17.
- Perez R, Moreno E. EGFR-targeting therapy as an evolving concept: learning from nimotuzumab clinical development. Chin Clin Oncol 2013; 26:1-10. doi: 10.3978/j.issn.2304-3865.2013.11.09.
- Talavera A, Friemann R, Gomez-Puerta S, et al. Nimotuzumab, an antitumor antibody that targets the epidermal growth factor receptor, blocks ligand binding while permitting the active receptor conformation. Cancer Res 2009; 69:5851-9.
- Crombet T, Figueredo J, Catala M, et al. Treatment of high-grade glioma patients with the humanized anti-epidermal growth factor receptor (EGFR) antibody h-R3. Report from a Phase I/II Trial. Cancer Biol Ther 2006; 5:375-9.
- Babu KG, Prabhash K, Vaid Ak, et al. Nimotuzumab plus chemotherapy versus chemotherapy alone in advanced non-small-cell lung cancer: a multicenter, randomized, open-label Phase II study. Onco Targets Ther 2014; 7:1051-60.
- Diaz Miqueli A, Blanco R, Garcia B, et al. Biological activity in vitro of Anti-Epidermal Growth Factor Receptor monoclonal antibodies with different affinities. Hybridoma 2007; 26:423-32.
- Berger C, Krengel U, Stang E, et al. Nimotuzumab and Cetuximab block ligand-independent EGF receptor signaling efficiently at different concentrations. J Immunother 2011; 34: 550-5.
- Ramakrishnan M, Eswaraiah A, Crombet T, et al. Nimotuzumab, a promising therapeutic monoclonal for treatment of tumors of epithelial origin. MAbs 2009; 1:41-48.
- Perera A, Pérez C. Radiomarcaje de anticuerpos con Tecnecio-99m. Rev Esp Med Nucl 1998; 17: 302-9.
- Liu S. Bifunctional coupling agents for radiolabeling of biomolecules and target-specific delivery of metallic radionuclides. Adv Drug Deliv Rev 2008; 60:1347-70.
- Mishra Ak, Iznaga-Escobar N, Figueredo R, et al. Preparation and comparative evaluation of 99mTc-labeled 2-iminothiolane modified antibodies and CITC-DTPA immunoconjugates of anti-EGF-receptor antibodies. Methods Find Exp Clin Pharmacol 2002; 24:653-60.
- Maraveyas A, Snook D, Hird V, et al. Pharmacokinetics and toxicity of an yttrium-90-CITC-DTPA-HMFG1 radioimmunoconjugate for intraperitoneal radioimmunotherapy of ovarian cancer. Cancer 1994; 73 (Suppl 3): 1067-75.
- Perera A, Paredes M, Kumar Mishra A, et al. Marcaje indirecto de anticuerpos monoclonales empleando la N2-dietilentriamino-pentaacetil lisina amida como agente quelatente del 99mTc. Alasbimn J 2009; 11:Article N° AJ45-2.
- Meszaros LK, Dose A, Biagini SC, Blower PJ. Hydrazinonicotinic acid (HYNIC) – Coordination chemistry and applications in radiopharmaceutical chemistry. Inorganica Chim Acta 2010; 363: 1059-69.
- García MF, Zhang Z, Shah M, et al. 99mTc-bioorthogonal click chemistry reagent for in vivo pretargeted imaging. Bioorg Med Chem 2016; 24:1209-15.
- Teixeira V, Cabral P, Porcal W. Microwave-assisted solid-phase synthesis of nicotinyl hydrazones for use in radiochemistry of technetium-99m. Arkivoc 2018; part V:1-10.
- Calzada V, García MF, Alonso-Martínez LM, et al. Fab(nimotuzumab)-HYNIC-99mTc: Antibody fragmentation for molecular imaging agents. Anticancer Agents Med Chem 2015; 16:1184-9.
- Calzada V, Garcia F, Fernández M, et al. Labeling and biological evaluation of 99mTc-HYNIC-Trastuzumab as a potential radiopharmaceutical for in vivo evaluation of HER2 expression in breast cancer. World J Nucl Med 2013; 12:27-32.
- Camacho X, García MF, Calzada V, et al. Synthesis and evaluation of 99mTc Chelate-conjugated Bevacizumab. Curr Radiopharm 2013; 6:12-9.
- García MF, Camacho X, Calzada V, et al. Synthesis of 99mTc-Nimotuzumab with Tricarbonyl Ion: in vitro and in vivo studies. Curr Radiopharm 2012; 5:59-64.
- Alberto R, Schibli R, Egli A, Schubiger AP. A novel organometallic aqua compkex of technetium for the labeling of biomolecules. Synthesis of [99mTc(OH2)3(CO)3]+ from [99mTcO4]- in aqueous solution and its reaction with a bifunctional ligand. J Am Chem Soc 1998; 120:7987.
- Zhang X, Cabral P, Bates M, et al. In vitro and in vivo Evaluation of [99mTc(CO)3]-Radiolabeled ErbB-2-targeting peptides for breast carcinoma imaging. Curr Radiopharm 2010; 3: 308-21.
- Camacho X, García MF, Calzada V, et al. [99mTc(CO)3]-Radiolabeled Bevacizumab: In vitro and in vivo evaluation in a melanoma model. Oncology 2013; 84:200-9.
- Kameswaran M, Pandey U, Sarma HD, Samuel G. Preparation of 99mTc carbonyl DTPA-bevacizumab and its bioevaluation in a melanoma model. Ann Nucl Med 2014; 28:911-6.
- Iznaga N, Morales A, Ducongé J, et al. Pharmacokinetics, biodistribution and dosimetry of 99mTc-labeled anti-human epidermal growth factor receptor humanized monoclonal antibody R3 in rats. Nucl Med Biol 1998; 25:17-23.
- Morales A, Ducongé J, Caballero I, et al. Biodistribution of 99mTc-Labeled anti-human epidermal growth factor receptor (EGF-R) humanized monoclonal antibody h-R3 in a xenograft model of human lung adenocarcinoma. Nucl Med Biol 1999; 26:275-9.
- Morales A, Ducongé J, Alvarez D, et al. Humanized versus murine anti-human epidermal growth factor receptor monoclonal antibodies for inmunoscintigraphic studies. Nucl Med Biol 2000; 27:199-206.
- Ramos M, Rodríguez N, Oliva JP, et al. 99mTc-labeled anti-human epidermal growth factor receptor antibody (ior egf/r3) in patients with tumor of epithelial origin: Part III. Clinical trials safety and diagnostic efficacy. J Nucl Med 1999; 40:768-75.
- Crombet T, Torres O, Rodríguez V, et al. Phase I clinical evaluation of a neutralizing monoclonal antibody against epidermal growth factor receptor in advanced brain tumor patients: Preliminary study. Hybridoma 2001; 20:131-6.
- Vallis KA, Reilly RM, Chen P, et al. A phase I study of 99mTc-hR3 (DiaCIM1), a humanized immunoconjugate directed towards the epidermal growth factor receptor. Nucl Med Commun 2002; 23:1155-64.
- Crombet T, Torres L, Neninger E, et al. Pharmacological evaluation of humanized anti-epidermal growth factor receptor, monoclonal antibody h-R3, in patients with advanced epithelial-derived cancer. J Immunother 2003; 26:139-48.
- Peña Y, Perera A, Batista JF. Immunoscintigraphy and radioimmunotherapy in Cuba: Experiences with labeled monoclonal antibodies for cancer diagnosis and treatment (1993–2013). MEDICC Rev 2014; 16:55-60.
- Torres LA, Perera A, Batista JF, et al. Phase I/II clinical trial of the humanized anti-EGF-r monoclonal antibody h-R3 labelled with 99mTc in patients with tumour of epithelial origin. Nucl Med Commun 2005; 26:1049-57.
- Torres LA, Coca MA, Batista JF, et al. Biodistribution and internal dosimetry of the 188Re-labelled humanized monoclonal antibody anti-epidemal growth factor receptor, nimotuzumab, in the locoregional treatment of malignant gliomas. Nucl Med Commun 2008; 29:66-75.
- Peña Y, Crombet T, Batista JF, et al. Immunoscintigraphy with 99mTc-Nimotuzumab for planning immunotherapy in patients with bone metastases due to prostate cancer. Clin Nucl Med 2016; 41:244-6.
- Peña Y, Crombet T, Batista JF, et al. Immunoscintigraphy with 99mTc-nimotuzumab in patients with non small cell lung cancer that will receive therapy with the monoclonal antibody. Ann Clin Case Rep 2017; 2:1354.
- Peña Y, Crombet T, Vergara A, et al. Immunoscintigraphy with 99mTc-14F7 and 99mTc-Nimotuzumab in patients with non-small cell lung cancer. Trends Cancer Res Chemother 2018; 1:1-2. doi: 10.15761/TCRC.10001121-2.
- Izquierdo-Sánchez V, Muñiz-Hernández S, Vázquez-Becerra H, et al. Biodistribution and Tumor Uptake of 67Ga-Nimotuzumab in a Malignant Pleural Mesothelioma Xenograft. Molecules 2018; 3138: 1-12.
- Mendler CT, Gehring T, Wester HJ, et al. 89Zr-labeled versus 124I-labeled αHER2 fab with optimized plasma half-life for high-contrast tumor imaging in vivo. J Nucl Med 2015; 56: 1112–8.
- Bhatt NB, Pandya DN, Wadas TJ. Recent advances in Zirconium-89 chelator development. Molecules 2018; 23:638.
- Zalutsky MR. Potential of immuno-positron emission tomography for tumor imaging and immunotherapy planning. Clin Cancer Res 2006; 12:1958-60.
- Chekol R, Bernhard W, Viswas RS, et al. 89Zr-nimotuzumab for potential clinical translation as an anti-EGFR immunoPET agent. J Nucl Med 2017; 58 (Suppl 1):688.
- Chekol R, Solomon VR, Alizadeh E, et al. 89Zr-nimotuzumab for immunoPET imaging of epidermal growth factor receptor I. Oncotarget 2018; 9:17117-32.
- Tang Y, Hu Y, Liu W, et al. A radiopharmaceutical [89Zr]Zr-DFO-nimotuzumab for immunoPET with epidermal growth factor receptor expression in vivo. Nucl Med Biol 2019; 70:23–31.
- Duvenhage J, Ebenhan T, Garny S, et al. Molecular imaging of a Zirconium-89 labeled antibody targeting plasmodium falciparum–Infected human erythrocytes. Mol Imaging Biol 2020; 22:115-23.
- Ensayo clínico: Evaluation of 89Zr-DFO-nimotuzumab for Non-invasive Imaging of EGFR Positive Cancers by Positron Emission Tomography (PET). En: https://clinicaltrials.gov/ct2/show/NCT04235114.
- Leyva R, Perera A, Morín JA. Radiofármacos en inmunocentelleografía y radioinmunoterapia. Nucleus 2012; 52:68-72.
- Emrich JG, Brady LW, Quang TS, et al. Radioiodinated (I-125) monoclonal antibody 425 in the treatment of high grade glioma patients: Ten-year synopsis of a novel treatment. Am J Clin Oncol 2002; 25:541–6.
- Fasih A, Fonge H, Cai ZZ, et al. 111In-Bn-DTPA-nimotuzumab with/without modification with nuclear translocation sequence (NLS) peptides: an Auger electron-emitting radioimmunotherapeutic agent for EGFR-positive and trastuzumab (Herceptin)-resistant breast cancer. Breast Cancer Res Treat 2012; 135:189-200.
- Iznaga-Escobar N, Rodríguez Perez R. ior egf/r3: antineoplastic monoclonal antibody. Drug Fut 1999; 24:1301-5.
- Fleuren EDG, Versleijen-Jonkersa YMH, Heskampb S, et al. Theranostic applications of antibodies in oncology. Mol Oncol 2014; 8:799-812.
- Barta, P, Laznickova A, Laznice, M, et al. Preclinical evaluation of radiolabelled nimotuzumab, a promising monoclonal antibody targeting the epidermal growth factor receptor. J Label Compd Radiopharm 2013; 56:280-8.
- Kameswaran, M, Samuel G, Dev Sarma H, et al. 131I-Nimotuzumab - A potential radioimmunotherapeutic agent in treatment of tumors expressing EGFR. Appl Radiat Isot 2015; 102:98-102.
- Iznaga-Escobar N. 188Re-direct labelling of monoclonal antibodies for radioimmunotherapy of solid tumors: Biodistribution, normal organ dosimetry, and toxicology. Nucl Med Biol 1998; 25:441-7.
- Iznaga-Escobar N. Direct radiolabeling of monoclonal antibodies with rhenium-188 for radioinmmunotherapy of solid tumors- a review of radiolabeling characteristics, quality control an in vitro stability studies. Appl Radiat Isot 2001; 54:399-406.
- Perera A, Leyva R, Gamboa R, et al. Marcaje del anticuerpo monoclonal humanizado h-R3 con 188Re. Nucleus 2003; 33:64-8.
- Iznaga-Escobar N, Ramírez IL, Izquierdo JC, et al. 188Re-labeled antiepidermal growth factor receptor humanized monoclonal antibody h-R3: labeling conditions, in vitro and in vivo stability. Methods Find Exp Clin Pharmacol 2003; 25:703-11.
- Gonzalez-Navarro BO, Casaco A, León M, et al. High dose of h-R3, an anti-epidermal growth factor receptor monoclonal antibody labeled with 188Rhenium following intravenous injection into rats. J Appl Research 2006; 6:77-88.
- Gonzalez B, Casacó A, Alvarez P, et al. Radiotoxicity of h-R3 monoclonal antibody labeled with 188Re administered intracerebrally in rats. Hum Exp Toxicol 2000; 19:684-92.
- Gonzalez-Navarro B, Casacó-Parada A, Alvarez P, et al. Local and systemic toxicity of h-R3, an anti-epidermal growth factor receptor monoclonal antibody, labeled with 188-Osmiun after the intracerebral administration in rats. Exp Toxicol Pathol 2005; 56:313-9.
- Casaco A, López G, García I, et al. Phase I single-dose study of intracavitary-administered Nimotuzumab labeled with 188Re in adult recurrent high-grade glioma. Cancer Biol Therapy 2008; 7:1-6.
- Puttemans J, Lahoutte T, D’Huyvetter M, Devoogdt N. Beyond the barrier: Targeted radionuclide therapy in brain tumors and metastases. Pharmaceutics 2019; 11:376. DOI:10.3390/pharmaceutics11080376.
- Bailly C, Vidal A, Bonnemaire C, et al. Potential for nuclear medicine therapy for glioblastoma treatment. Front Pharmacol 2019; 10:772. DOI: 10.3389/fphar.2019.00772.
- Beckford DR, Xiques A, Leyva R, et al. Nuevo radioinmunoconjugado 90Y-DOTA-h-R3. Síntesis y radiomarcaje. Nucleus 2007; 41:3-8.
- Beckford DR, Eigner S, Beran M, et al. Preclinical evaluation of 177Lu-Nimotuzumab: A potential tool for radioimmunotherapy of epidermal growth factor receptor–overexpressing tumors. Cancer Biother Radiopharm 2011; 26:DOI: 10.1089/cbr.2010.0916.
- Ondarse D, Leyva R, Zamora M, et al. Modificación del hR3 con DOTA-NHS. Marcaje con 90Y y biodistribución. Nucleus 2011; 49:26-32.
- Beckford DR, Eigner S, Eigner K, et al. Preparation and preclinical evaluation of 177Lu-nimotuzumab targeting epidermal growth factor receptor overexpressing tumors. Nucl Med Biol 2012; 39:3–13.
- Calzada V, Zhang X, Fernández M, et al. A potencial theranostic agent for EGF-R expression tumors: (177)Lu-DOTA-nimotuzumab. Curr Radiopharm 2012; 5:318-24.
- Beckford DR, Eigner S, Eigner K, et al. Lu-177/Y-90 Intermediate-affinity monoclonal antibodies targeting EGFR and HER2/c-neu: Preparation and preclinical evaluation. En: Theranostics, Gallium-68, and Other Radionuclides. 2012. Series title: 392. Springer-Verlag Berlin Heidelberg.
- Cooper MS, Sabbah E, Mather SJ. Conjugation of chelating agents to proteins and radiolabeling with trivalent metallic isotopes. Nat Protoc 2006; 1:314-7.
- Guerard F, Barbet J, Chatal JF, et al. Which radionuclide, carrier molecule and clinical indication for alpha-immunotherapy? Q J Nucl Med Mol Imaging 2015; 59:161-7.
- Khan B, Khan M, Causey P, et al. Therapeutic efficacy of Ac-labeled nimotuzumab in a mouse model of EGFR positive KRAS-mutant metastatic colorectal cancer (mCRC). J Nucl Med 2020; 61 (Suppl 1): 233.