Actualidad y retos de la química de los complejos 99mTc,186/188Re-DMSA
Ulises Jáuregui1, Alejandro Blanco1, Daniel Hernández1, Ariel García1, Zaula Rodríguez1.1 - Instituto Superior de Tecnologías y Ciencias Aplicadas (InSTEC), La Habana, Cuba..
Resumen
Los radiofármacos de 99mTc se emplean en casi el 80 % de los estudios de medicina nuclear a nivel mundial. Por otra parte, los isótopos 186/188Re se consideran radionúclidos útiles para la radioterapia. El ácido meso 2,3-dimercaptosuccínico (DMSA) es un ligando usado en medicina nuclear para la preparación de radiofármacos de diagnóstico y terapia. Son conocidos los complejos M-DMSA (M=Tc, Re), donde el metal se encuentra en dos de sus estados de oxidación más frecuentes (III y V), cuando forman compuestos de coordinación de configuraciones electrónicas con espín pareados d4 y d2 respectivamente. La caracterizacion estructural de los complejos M(V)-DMSA ha demostrado la presencia de una mezcla de tres estereoisómeros, que forman parte del grupo denominado oxo-complejos. La estructura del Tc(III)-DMSA fue propuesta teóricamente desde 1984, pero aún no se ha confirmado su existencia. El objetivo de este trabajo es evaluar el estado del arte de las investigaciones químicas y farmacológicas sobre los complejos de 99m Tc y 186/188Re con DMSA. En la actualidad, todavía existen interrogantes sobre la estructura y propiedades químicas de estos compuestos que, con más de 30 años de utilizacion, aún constituyen un reto para los investigadores de este campo. Por otra parte, también es necesario ampliar los estudios sobre los mecanismos de biodistribución, la identificación de isómero(s) con actividad biológica, su proceso de formación, así como la estructura de algunos de los complejos M-DMSA. El estudio de estos sistemas no ha perdido vigencia y puede constituir tema de numerosas investigaciones en los próximos años.
Introducción
El ácido meso 2,3-dimercaptosuccínico (DMSA) se utiliza en la medicina para tratar la desintoxicacion por ingestión de metales pesados, y como ligando para la preparación de radiofármacos marcados con 99mTc y 186/188Re radionúclidos con aplicaciones disímiles en la medicina nuclear(1), lo que constituye el objeto de estudio del presente trabajo.
Los complejos de Tc-DMSA, se utilizan en el campo de la radiofarmacia desde hace más de 30 años. Durante la década del 70 y primeros años de los 80 del siglo pasado, se reportan numerosos estudios donde se emplea el DMSA marcado con 99mTc como radiotrazador de diagnóstico en la medicina. Así el 99mTc(V)-DMSA permite identificar de forma satisfactoria osteosarcomas, fundamentalmente carcinomas medulares de tiroides (CMT) (2-4). Igualmente se estudia el comportamiento bioquímico del 99mTc(III)-DMSA como agente imagenológico de la corteza renal (5,6). Además, se evidencia la afinidad de ambos radiofármacos por las proteínas plasmáticas solubles de la sangre, las cuales constituyen su medio de transporte en el organismo, principalmente albúmina, α1-, α2-, y β1- globulinas (7). Por su parte, el empleo de los radiofármacos 186/188Re(V)-DMSA es más reciente, durante la década de los 90 numerosos investigadores demuestran sus potencialidades como agente paliativo del dolor inducido por metástasis ósea (8-12), así como sus numerosas ventajas por la similaridad química entre Re y Tc, lo que permite disponer de un análogo molecular del 99mTc(V)-DMSA (13) caracterizado años antes.
Estos estudios contribuyeron a definir las diferentes condiciones de preparación de estos radiofármacos, según su aplicación en la medicina nuclear. Asi el rango de pH resultó un factor fundamental de forma tal que en medio acido se obtiene el 99mTc(III)-DMSA y 186/188Re(V)-DMSA, y en medio alcalino el 99mTc(V)-DMSA.
Aunque la radiofarmacia ha evolucionado hacia nuevas tecnologías y, al desarrollo de nuevos radiofármacos, la aplicación de éstos complejos está vigente en todo el mundo y la compresión de sus propiedades químicas resulta un reto para los investigadores. Muestra de ello son las numerosas investigaciones publicadas en los últimos cinco años (1, 14-17). El objetivo de este trabajo es evaluar el estado del arte de las investigaciones químicas y farmacológicas sobre los complejos de 99m Tc y 186/188Re con DMSA. Así teniendo en cuenta la actualidad e importancia de estos compuestos, en este trabajo se aborda la química, caracterización estructural, condiciones de preparación, estabilidad, control de la calidad y biodistribución de los radiofármacos de M-DMSA y sus componentes, con el fin de sistematizar el conocimiento existente acerca de estos temas.
Química del Tc, Re y del ligando DMSA
Comparación de las propiedades química del Tc vs Re.
Durante los últimos años, motivados por la necesidad de optimizar la biolocalización de agentes de diagnóstico, se han obtenido diferentes tipos de compuestos de Tc. Estos van desde complejos inorgánicos hasta estructuras más complejas (18-20). Uno de los principales son los denominados oxo-complejos.
Los oxo-complejos de Tc(V) con ligandos polidentados abrieron una línea en el desarrollo de nuevos radiofármacos. Entre los compuestos más importantes se encuentran los mono-oxo complejos de Tc(V), donde en más del 90% de lo casos, en los ligandos están presentes átomos donores de electrones como el N y el S.
Los ligandos de alta densidad (tridentados y tetradentados), suponen la formación mayoritaria de complejos con número de coordinación (n.c.) igual a 5, por imposición de los requerimientos estéricos de la propia estructura. Por el contrario, los ligandos bidentados inducen la formación de geometrías de octaedro distorsionado. Los oxo-complejos de Tc(V) neutros y cargados negativamente con ligandos tetradentados constituyen la estructura básica en el desarrollo de agentes para el estudio de perfusión cerebral e imágenes renales respectivamente (21, 22). Otro grupo de oxo-complejos importantes son aquellos donde el tecnecio se une a dos oxígenos (di-oxo) o donde existe un oxígeno puente entre compuestos dinucleares tipo Tc-O-Tc (μ-oxo). En general los di-oxo complejos de Tc(V) tienen carácter catiónico y geometría octaédrica, con los oxígenos en posición -trans como el compuesto 6,9-bis(2-etoxietil)-3,12-dioxa-6,9-difosfatetradecano (99mTc-Tetrofosmina) utilizado para el disagnostico de enfermedades coronarias (22).
Por otra parte, el atractivo del renio para aplicaciones terapéuticas se debe a su gran similitud con el tecnecio por lo que sus propiedades químicas son asumidas como similares o incluso iguales al Tc. Desde este punto de vista se pudieran usar de manera complementaria, un mismo ligando que se use para el diagnóstico con 99mTc y para la terapia con 186Re o 188Re. Esto permite, de antemano, realizar los estudios de dosimetría, lo cual sería beneficioso para la toma de decisión clínica(23). Sin embargo, aunque los compuestos de Tc y Re son muy similares, existen diferencias substanciales en su química, que hacen el marcaje con renio sea más difícil que con tecnecio(24).
El renio es más difícil de reducir y por tanto más fácil de oxidar por lo que sus compuestos son más inestables en aire. El ligando tetradentado MAG3 se usa frecuentemente para estabilizar el núcleo [Re(V)=O]3+ en forma del complejo [ReO(MAG3)]-. Incluso este complejo estable es bastante sensible a la reoxidación a [ReO4-] mientras que su análogo de Tc es muy estable. El renio es menos reactivo que el tecnecio. La reducción en condiciones estándares de [MO4]- con Sn(II) es esencialmente inmediata para [TcO4]- pero requiere condiciones más severas o mayores tiempos de reacción para el [ReO4]-. Como consecuencia de la mayor dificultad para la reducción del [ReO4]- respecto al [TcO4]-, para la preparación de radiofármacos con Re, en muchas ocasiones, se emplea el llamado método de pre-marcaje. En este método, se prepara primero el complejo con el radiometal y en el último paso se acopla la biomolécula(18).
Como se planteó anteriormente, uno de los radiofármacos de renio que se encuentra actualmente en uso clínico es el complejo [ReO(DMSA)2]-, el cual es un agente versátil para el tratamiento de carcinoma medular de tiroides (CMT) y otros tumores(18, 25, 26).
Los átomos de Re son ligeramente más blandos que los de Tc, de ahí su mayor estabilidad cuando se coordina con los átomos de S que son bases blandas, según la teoría ácido-base duros y blandos (TABDB) formulada por Pearson en 1961. Esta afirmación se puede demostrar fácilmente según criterios cuantitativos basados en parámetros netamente experimentales, como son la energía de ionización (I), y la electroafinidad (A) (27). Pearson define la dureza (η) como η = I - A / 2 donde I se define como el opuesto de la energía del orbital ocupado de mayor energía (HOMO): I = -ε(HOMO) y A como el opuesto de la energía del orbital desocupado de menor energía (LUMO): A = -ε(LUMO). Está demostrado experimentalmente que los potenciales de oxidación de Re son ligeramente mayores a los de Tc, es decir se oxida más fácilmente que el Tc. Por tanto, la energía necesaria para arrancarle un electrón a un átomo en estado gaseoso (así se define I) es más pequeña, y la electroafinidad (A) es ligeramente mayor, lo que da un valor global (I-A) ligeramente menor y, por tanto, una menor dureza para el átomo de Re, explicándose así, su mayor estabilidad con los átomos de S, con respecto a los de Tc. Siempre "ligeramente" porque estos dos metales son muy semejantes en todos los parámetros experimentales que los caracterizan. Además de los radios iónicos, los potenciales de ionización y la distancia interatómica en los óxidos, también se pueden mencionar la electronegatividad (ambos 1.9 en la escala de Pauling) y las estructuras cristalinas (ambos hexagonales). Esta similitud se debe al efecto de contracción lantánida, presente en la tercera serie de transición de los metales, donde se ubica el Re. Además de que los complejos de Re son más difíciles de reducir, también presentan una cinética de sustitución por los ligandos más lenta que su contraparte de Tc (9, 24).
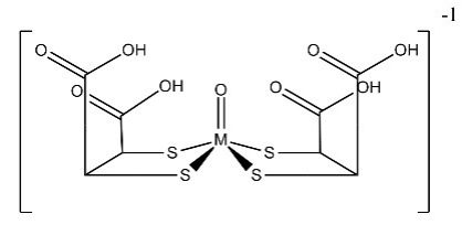
En sentido general el Tc(V) y Re(V) son ácidos duros, por eso su afinidad excelente por el átomo de O al formar los núcleos para los oxo-complejos, pero en el momento de formar los núcleos Tc=O y Re=O con carga 3+, la dureza disminuye considerablemente por pasar a ser una entidad biatómica más polarizable que un solo átomo de Tc con carga 3+. Esto explica la afinidad por la coordinación con los átomos de S del DMSA, que son bases blandas; mientras que la estructura propuesta por Moretti et al. (Figura 1) (28) para el complejo 99mTc(III)-DMSA, con núcleo Tc(III) (un ácido duro), justifica la coordinación con átomos O provenientes de los grupos carboxilos (base dura). Dicha diferencia explica la liberación de grupos tioles en detrimento de la coordinación de grupos carboxilos, lo cual justifica su biodistribución por la afinidad de los grupos tioles por las proteínas transportadoras de dicho radiofármaco, que lo conducen hacia la corteza renal (6, 29-35).

Propiedades químicas y químico-físicas del DMSA ligando
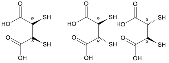
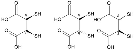
El ácido meso-2,3 dimercaptosuccínico (DMSA) es un polvo sólido blanco, cristalino con olor característico y sabor amargo, que fue sintetizado por primera vez en 1949 y se convirtió en objeto de investigaciones de muchos autores que modificaron los procedimientos de síntesis (36-38). La molécula presenta estereoisomería ya que el DMSA se encuentra en forma de mezcla racémica, y formando el isómero meso, de especial interés en la medicina nuclear (Figura 2). El DMSA contiene dos grupos sulfhidrilos (SH) y dos grupos carboxílicos (COOH) que actúan como donores en el enlace de coordinación. Esta composición permite diferentes formas de enlace y facilita diversos estados de oxidación (3+ hasta 6+) del 99mTc según las condiciones de marcaje. El grupo tiol es bastante ácido, un potente reductor, porque es fácilmente oxidable formando disulfuro orgánico (R-S-S-R) y muy nucleófilo. La forma deprotonada S- es más reactiva que la forma protonada, porque el átomo de azufre es muy nucleófilo por sus dos pares de electrones sin compartir, pero el anión tiolato es aún más (RS- > RSH). La orientación espacial de los grupos sulfhidrilos (SH) en el isómero meso, le confiere a la molécula importantes propiedades físico-químicas útiles en su aplicación como agente quelante de diferentes metales. Es por ello que encuentra dos usos fundamentales en la medicina, cómo antídoto para la desintoxicación del envenenamiento por metales pesados (39) y en el campo de la medicina nuclear, como ligando en la preparación de los radiofármacos de Tc y Re (40). La temperatura de fusión del isómero meso se encuentra entre 210-211 oC, mientras que la de la mezcla racémica está entre 127-130 oC (36, 41, 42). Se ha comprobado que la solubilidad del meso-DMSA es de 4,09 mol/L a 25 oC y es moderadamente menos soluble que la mezcla racémica (38, 39, 42). Los grupos SH y COOH se deprotonan en función del pH del medio, con constantes de ionización: pKa1(COOH)= 2,71; pKa2(COOH) = 3,43; pKa1(SH) = 9,65; pKa2(SH) = 12,05 (42-44).

El espectro IR de DMSA (Figura 3) presenta dos picos débiles en 2562 cm-1 y 2537 cm-1, correspondientes a los grupos SH, y una banda fina e intensa en 1701 cm-1 que caracteriza el estiramiento de los grupos carbonilos (C=O), además de una banda ancha alrededor de los 3000 cm-1 que corresponde a las vibraciones O-H presentes en los grupos carboxilos (COOH) del DMSA (43, 45, 46).

El espectro Raman (Figura 4) contiene más señales características que pueden ser identificadas. Las vibraciones C=O y O-H del DMSA se observan en 1641 cm-1 y 2958 cm-1 respectivamente. Las señales de C-S y S-H tienen dobles posiciones en 700/669 cm-1 y 2564/2540 cm-1, respectivamente (47).

En cuanto al espectro RMN-1H, el DMSA presenta dos grupos CH químicamente equivalentes que brindan una sola señal de valor 3.31 ppm (48), mientras que por RMN-13C presenta dos señales pertenecientes a los grupos CH (δ = 51,18 ppm) y COOH (δ = 181,59 ppm) (Figura 5). La variación de los desplazamientos químicos de las señales depende de las condiciones de pH del medio (43, 48).

Otra técnica analítica aplicada con frecuencia para las determinaciones cuantitativas del ligando DMSA en diferentes medios biológicos es el HPLC (29, 30, 32, 49). Para lograr la correcta separación fue desarrollada una técnica basada en la detección por fluorescencia del DMSA en medios biológicos como sangre, plasma u orina (31, 33, 34, 50). Actualmente la técnica de separación más empleada es mediante la obtención del DMSA derivatizado con un compuesto de alta fluorescencia denominado monobromobiman en solución alcalina (49).
Química y caracterización estructural de los complejos M-DMSA
El grupo tiol se emplea frecuentemente como ligando en el enlace de coordinación, debido a su alta reactividad química con los radiometales, explicada anteriormente desde el punto de vista de la TABDB. Sin embargo, la elevada reactividad del grupo SH compromete la estabilidad del compuesto y resulta más difícil controlar su reacción, como haya más de un grupo SH en la molécula se podrán formar más de un complejo de coordinación según las condiciones de marcaje.
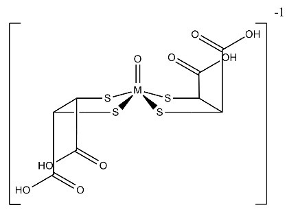
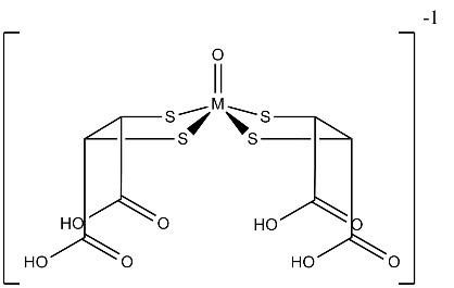
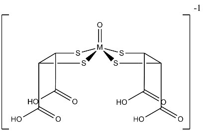
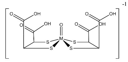
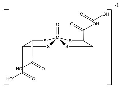
La caracterización estructural de los complejos M-DMSA con el isótopo estable 99Tc para el caso del complejo Tc(V)-DMSA y Re estable para el caso de Re(V)-DMSA, permitió elucidar la presencia de una mezcla de tres estereoisómeros: Syn-endo, Syn-exo y Anti, oxo-complejos mononucleares de carga -1 con número de coordinación igual a 5 y geometría piramidal de base cuadrada (Figura 6), el cual se deprotona completamente a pH 7 alcanzando una carga total de -5 (13, 51). Mientras tanto, la estructura del Tc(III)-DMSA, a pesar de que se ha propuesto en la literatura (28) (Figura 1), aún se desconoce con certeza, lo que constituye una de las interrogantes a solucionar todavía en estos días.
A pesar de la gran similitud química de los complejos de Re(V) y Tc(V) con DMSA, el primero presenta mayor acumulación en los riñones, presumiblemente debido a diferencias entre parámetros no estructurales como la cinética de intercambio del ligando, la polarización del enlace M=O, o el comportamiento redox. Por su parte no se observa asociaciones del Re a proteínas y otro tipo de conversión a especies radiactivas. Esto sugiere que el 186/188Re(V)-DMSA puede ser aplicado como agente terapéutico en carcinomas medular de tiroide y otros tumores blandos como sarcomas. El 186/188Re(V)-DMSA tiene además gran selectividad por la metástasis ósea (sobre todo la proveniente de carcinomas de próstata), por lo que pudiera usarse también como agente paliativo del dolor (8).



Biodistribución del ligando DMSA y los complejos M-DMSA
Ligando DMSA
El DMSA se utiliza como ligando en la desintoxicación de metales pesados, lo que ha propiciado muchas investigaciones en este campo (35, 39, 50, 53, 66-68), demostrando la afinidad de esta molécula por la principal proteína plasmática, la albúmina (30, 33). Se ha demostrado que el 20% de la dosis suministrada por vía oral se elimina por la orina, donde se encuentra más del 18% del DMSA excretado en forma de mezcla de disulfuros con L-cisteína (29, 30, 32, 35). Para el resto de la dosis suministrada, o sea el 80%, se sugieren diferentes posibilidades de eliminación, la excreción mediante las heces o excreción por la orina pero en una forma no detectable por los métodos analíticos utilizados (31).
Agente renal 99mTc(III)-DMSA
La tasa de desaparición en sangre del 99mTc(III)-DMSA es más lenta que el 99mTc-DTPA (dietilentriamino-pentacetato) a causa de la unión a proteínas. El aclaramiento de sangre se realiza de manera tri-exponencial: el 44% de la dosis tiene una vida media biológica de 20 minutos; el 44%, 50 minutos; y 12%, 18 horas. Aproximadamente del 4 al 5% de la actividad de plasma se extrae continuamente por el paso a través de riñón. La acumulación renal aumenta en un período de horas, con una captación biológica media de una hora, y no hay eliminación de la fracción unida a proteínas plasmáticas en ese tiempo. Sobre el 24% de la dosis inyectada se fija a ambos riñones en una hora, siendo del 20 - 35% en 6 horas. La cantidad que no se fija a riñón aparece en la orina, con una excreción urinaria acumulativa en 6 y 24 horas de 26 y 37% de la dosis administrada, respectivamente. Estudios radiográficos en ratas indican que el 98% de la actividad renal se une a la corteza y el 4% a la médula (5).
El mecanismo exacto de la excreción renal del 99mTc-DMSA no es conocido. Como se une a proteínas plasmáticas, una poca actividad será aclarada por filtración glomerular, comparada con el 99mTc-GH o 99mTc-DTPA. Esto es evidente durante la imagen renal a causa de la pobre visualización del sistema colector; sin embargo, la unión a proteínas parece ser importante para su localización en riñón (6). El complejo 99mTc-DMSA formado a pH ácido tiene una mayor fijación a proteínas y mayor concentración renal. Cuando el complejo se forma a valores más altos de pH, la unión a proteínas es menor y también es menor la concentración renal, lo que coincide con una actividad aumentada en hueso e hígado. La concentración renal no se ve afectada por el probenecid (agente uricosúrico que aumenta la excreción del ácido úrico por la orina), esto indica que el DMSA no es segregado por el mismo sistema enzimático que el probenecid (69).
Otros estudios muestran que el mercurio iónico (Hg+) disminuye la localización de 99mTc(III)-DMSA en las células tubulares. Estos datos sugieren que la localización del 99mTc(III)-DMSA en las células tubulares corticales ocurre por la cesión del complejo desde su unión a proteínas desde la sangre eferente arterial al fluido peritubular, donde el complejo se disocia y se une a las células tubulares; o mediante la reabsorción y unión a las células tubulares proximales del 99mTc-DMSA filtrado por el glomérulo {ref[5, 69}. Estudios subcelulares indican que la unión se realiza con proteínas en el citosol, microsomas, y mitocondria (70).
El 99mTc(III)-DMSA presenta una distribución biológica similar al 197Hg-clormerodrin, por alcanzar una concentración alta en la corteza renal con excreción urinaria lenta. La imagen entre 2 y 4 horas después de la inyección es satisfactoria, aunque más lenta, a las 24 horas se obtiene un aclaramiento mayor de sangre y una disminución del fondo (71). Presenta un alto grado de unión a proteínas plasmáticas principalmente α y β – globulinas (7). A pesar que aún no está definido con precisión el mecanismo exacto de captación, se postula que es captado directamente por las células tubulares proximales y de la porción ascendente del asa de Henle (captación desde los vasos peritubulares), y/o que se hace por filtración glomerular más reabsorción. A las 2 horas después de su administración, aproximadamente el 25 - 30% es captado por cada riñón. La captación renal máxima es de aproximadamente 42% de la dosis inyectada (72, 73). Por tanto, el DMSA es un agente óptimo para detectar anormalidades focales de la corteza renal, pero a causa de su excreción urinaria lenta, es un mal agente para demostrar anormalidades del sistema colector. Por su alta captación en riñón se ha sugerido que el 99mTc-DMSA puede ser el mejor agente de tecnecio para determinación de masa renal funcional relativa.
La distribución del 99mTc-DMSA puede alterarse en la enfermedad renal severa o en alteraciones del equilibrio ácido-base. Cuando la función renal se altera severamente, el hígado puede acumular también actividad como una vía de eliminación alternativa. En estudios realizados en ratas con cloruro amónico como inductor de acidosis que produce pH urinario bajo, se ha demostrado que la concentración en riñón de DMSA se reducía en más de un 50 % y la actividad en hígado aumentaba. Las razones para este efecto no son conocidas, pero los resultados pueden tener importancia en la estimación cuantitativa de la función renal en pacientes con el equilibrio ácido-base alterado. La variación de la relación de captación riñón-hígado puede producir la sobrestimación de actividad de riñón cuando hay captación hepática aumentada. En particular, esto puede llevar a un análisis incorrecto en casos de enfermedad renal asimétrica (69).
Agente tumoral 99mTc(V)-DMSA
En el caso del Tc(V) existen similitudes entre los agentes de diagnóstico 99mTc(V)-DMSA y 67Ga-citrato, utilizados en tumores y procesos inflamatorios. La interacción del 99mTc-DMSA con las proteínas de la sangre es muy importante y puede influir en la biodistribución. Se ha comprobado que en el caso del 99mTc(V)-DMSA, su principal proteína transportadora en la sangre es la albúmina, la cual se asocia principalmente a un péptido de 18 kDa expresado en tumores. Estas asociaciones pueden verse afectadas por la influencia de la temperatura y el pH (74) y, además, son la clave para la mejor comprensión de la biodistribución y farmacocinética del complejo 99mTc(V)-DMSA.
Horiuchi et al. (75) en 1998 plantearon la hipótesis basada en la sensibilidad al pH del medio que presenta el agente tumoral, como uno de los factores a considerar en la localización del radiofármaco en tejidos tumorales, relacionando el pH ligeramente ácido predominante en los tejidos tumorales con su localización. Otros autores (76-81) demostraron que el mecanismo por el cual se aloja en tumores se relaciona directamente con tres familias de proteínas diferentes denominadas NaPi tipo I, II y III, dependientes de iones fosfatos inorgánicos (Pi), las cuáles actúan como co-transportadores de las células cancerígenas, específicamente la NaPi tipo III. Estos resultados concuerdan con los estudios antes mencionados, ya que este tipo de proteínas NaPi tipo III se inhibe a pH alcalino, a diferencia de NaPi tipo II en la cual se produce un efecto contrario y la NaPi tipo I totalmente indiferente a cambios de pH del medio.
Todos los estudios reportados proponen diferentes mecanismos relacionados con las células tumorales, pero hasta ahora no existe un mecanismo estrictamente esclarecido (82). La principal aplicación del 99mTc(V)-DMSA es la detección de carcinomas medulares de tiroides (2, 83).
Agente terapéutico 186/188Re(V)-DMSA
El 186/188Re(V)-DMSA tiene gran selectividad por la metástasis ósea (sobre todo la proveniente de carcinomas de próstata), por lo que pudiera usarse como agente paliativo del dolor, además de gran acumulación en riñones; mientras que su análogo de Tc(V), es ampliamente utilizado y adoptado como agente de diagnóstico para los CMT (8, 12).
Estudios combinados de imagenología, análisis de sangre y orina, indican una rápida extracción del radiofármaco desde la sangre hacia los tejidos, con un posterior retorno lento hacia la sangre. Esto explica la presencia muy lenta de radioactividad en la orina del 5% en 1h y 55% en 24h. No se observa asociaciones del Re a proteínas y otro tipo de conversión a especies radiactivas (8). Estos estudios sugieren que el 186/188Re(V)-DMSA puede ser aplicado como agente terapéutico en CMT y otros tumores blandos como sarcomas, y en metástasis ósea y osteo-sarcomas.
Preparación y estabilidad del ligando DMSA y de los radiofármacos M-DMSA
Ligando DMSA
El DMSA se obtiene mediante una síntesis simple, que consiste en la reacción del ácido succínico con 2 moles de ácido tiolacético en presencia de acetato de etilo, donde se obtiene un precipitado en forma de mezcla de estereoisómeros del ácido bisacetiltiosuccínico (-meso y la mezcla racémica -DL), luego este precipitado se lava con ácido clorhídrico para producir la hidrólisis y obtener finalmente el ácido dimercaptosuccínico {ref[36}. Desde finales de los años 70 del pasado siglo, el DMSA es un producto distribuido comercialmente en su forma -meso para su aplicación en la medicina.
Los grupos SH que presenta la molécula de DMSA pueden ser fácilmente oxidados, formando estructuras dimerizadas (14, 31, 52). Además, mediante técnicas espectroscópicas (RMN-1H, RMN-13C y UV-Vis) se demostró que el DMSA se degrada en el tiempo fundamentalmente a pH alcalino (53), por procesos de desulfuración convirtiendo la molécula en ácido fumárico (su principal producto de degradación), alcanzando pasada tres semanas una relación (DMSA : ácido fumárico) (1:1). Estos productos pueden considerarse potenciales agentes quelantes y junto al 99mTc pueden incrementar la presencia de impurezas radioquímicas en el preparado del radiofármaco (15). La estabilidad del DMSA está relacionada con sus condiciones de almacenamiento, se recomienda conservarse protegido de la luz y en atmósfera de dinitrógeno a -20 ºC.
Radiofármaco 99mTc(V)-DMSA
Uno de los factores que influyen en la preparación de los radiofármacos M-DMSA es el pH del medio. A pH básico, el DMSA se une al 99mTc en estado de oxidación (V), y se forma un compuesto empleado para la detección de tumores (carcinoma medular de tiroides fundamentalmente) y a pH ácido el DMSA se une a 99mTc en estado de oxidación (III), y se forma un compuesto empleado para estudios estáticos de gammagrafía de corteza renal. Durante este proceso puede verse comprometida la estabilidad de la molécula de DMSA, fundamentalmente a pH básico, pudiendo provocar su degradación. Además, se pueden formar compuestos secundarios, como el Sn(DMSA)2, que alteran las propiedades biológicas del radiofármaco (17).
Estudios mediante técnicas analíticas (electroforesis y HPLC) demostraron la influencia del pH del medio de preparación en la obtención del complejo de Tc(V)-DMSA, mezcla de tres estereoisómeros en medio alcalino, y el Tc(III)-DMSA, obtenido bajo condiciones de pH ácido (54). Estos estudios sugieren también la posibilidad de formar cinco tipos diferentes de complejos con DMSA en dependencia del pH y de la relación de concentración de DMSA : SnCl2*2H2O, los cuáles pueden tener diferente biodistribución (15). Estudios más recientes sugieren que el factor determinante en la obtención de uno u otro complejo de 99mTc-DMSA (III o V) es la concentración de 99mTc durante el proceso de preparación y no la influencia del pH (17).
La preparación de 99mTc(V)-DMSA ocurre en condiciones de pH alcalino de manera espontánea y a temperatura ambiente (Tabla 1) (55). Numerosos estudios se centran en partir del kit comercial de 99mTc(III)-DMSA al elevar el pH mediante la adición de una pequeña cantidad de NaHCO3, para alcanzar las condiciones adecuadas de obtención del 99mTc(V) por reducción del pertecnectato (99mTcO4-) (14, 55-58).
Un factor a considerar en la estabilidad es el pH del medio, ya que a valores por encima de 8.8 se ha encontrado la presencia del complejo Sn(DMSA)2, favorecido en ocasiones por la relación molar de partida (DMSA: SnCl2*2H2O) (3:1) presentes en los kit comerciales. Además, es importante tener en cuenta la inestabilidad de la molécula de DMSA en condiciones de pH alcalino (15).
Tabla 1. Principales parámetros de la preparación de los complejos M-DMSA (8, 9, 17, 23, 28, 59-61).
Componentes del kit y parámetros de reconstitución |
99mTc(V)-DMSA* |
186/188Re(V)-DMSA* |
99mTc(III)-DMSA |
DMSA |
1 mg/mL |
1 mg/mL |
1 mg/mL |
SnCl2*H2O |
0.33 mg/mL |
0.44 mg/mL |
0.33-0.41 mg/mL |
Buffer Bicarbonato, 4.4%, pH9.0 |
1 mL | ajustar pH a 7.5 – 8.0 |
No contiene |
Ácido ascórbico |
No contiene |
0.70 mg/mL |
0.75 - 1 mg/mL |
NaCl |
No contiene |
No contiene |
3 – 5 mg/mL |
Volumen 99mTcO4- |
2 mL (máximo 30 mCi o 1.11 MBq) |
1 mL (16 MBq) |
3 mL (máximo 100 mCi o 3.7 GBq) |
Tiempo de incubación |
15 - 20 min |
30 min (100 ºC) |
15 - 20 min |
pH al reconstituir el bulbo |
8 – 9 |
1.5 – 2.5 |
2.3 – 3.5 |
Plazo de validez |
hasta 4 h |
hasta 4 h |
hasta 4 h |
*La preparación se realiza a partir del kit comercial de 99mTc(III)-DMSA.
Radiofármaco 186/188Re(V)-DMSA
En general los complejos de Re son más difícil de reducir y cinéticamente más inertes a la reacción de sustitución de ligandos, que sus análogos de Tc. Estas diferencias se evidencian en las condiciones de preparación que requieren ambos complejos. En la preparación de 186/188Re(V)-DMSA (Tabla 3) no es necesario elevar el pH del kit, debido a que la reducción del perrenato (186/188ReO4-) es factible hasta el Re(V) en condiciones de pH bajo. Para alcanzar estados de oxidación inferiores del Re se necesita un mayor poder de reducción en otras condiciones del medio. Mientras los complejos de Tc(V)-DMSA se forman espontáneamente a temperatura ambiente, en la preparación del 186/188Re(V)-DMSA es necesario la incubación durante 30 minutos y temperatura de 100 oC. En caso de la preparación del radiofármaco con el radionúclido 186Re, se debe tener en cuenta la presencia de portadores (185Re estable que actúa de blanco en la reacción n,γ), por lo que al proceso de preparación le debe seguir un proceso de purificación donde se garantice obtener el radiofármaco libre de portadores con la mayor actividad específica posible. Bisunadan et al. (9) en 1991 propusieron un método para la purificación de este radiofármaco.
Lisic et al. (62) reportaron otra ruta para la síntesis del complejo Re(V)-DMSA usando el radionúclido 188Re libre de portador. La síntesis consiste en la preparación de ReOCl3(PPh3)2 obtenido con más de 95% de rendimiento, mediante la reacción del perrenato (188ReO4-) con trifenilfosfina (PPh3) y HCl con la subsecuente extracción con CH2Cl2 o CHCl3. En la reacción de ReOCl3(PPh3)2 con DMSA a temperatura ambiente ocurre el intercambio de ligando donde se forma ReO(DMSA)2 con alto rendimiento y químicamente idéntico al compuesto preparado usando el agente reductor SnCl2 {ref[51}.
Estudios más recientes (11, 63, 64) reflejan la posibilidad de preparar el radiofármaco sin necesidad de elevar la temperatura y adicionando oxalato de sodio al kit. La ventaja fundamental de este método consiste en que se logra una reducción de 188ReO4- más eficiente. El método consiste en la presencia de ligandos auxiliares adicionales, los cuales deben jugar un papel de quelato bifuncional enlazando al 188ReO4- y a una molécula anfitriona apropiada en presencia del reductor Sn2+, los cuales forman una especie intermedia para finalmente obtener el complejo deseado mediante reacción de intercambio con el ligando de interés. Mediante este mecanismo se logra la expansión de la esfera de coordinación del núcleo metálico 188Re lo que favorece fuertemente a la transferencia electrónica entre el par redox Sn2+/ ReO4- (11).
En la estabilidad del radiofármaco 186/188Re(V)-DMSA influye de manera significativa los procesos de auto-radiólisis que pueden tener lugar en el preparado. Actividades adecuadas (16 MBq por vial) del radionúclido garantiza la estabilidad del producto con alta pureza radioquímica. En caso de actividades elevadas (185 MBq por vial), el complejo sufre una severa auto-radiólisis, lo que disminuye la pureza radioquímica del radiofármaco. Para atenuar estos efectos se añaden 15 mg de ácido ascórbico por vial, la presencia de este componente no afecta la composición isomérica del 186/188Re(V)-DMSA (8).
Radiofármaco 99mTc(III)-DMSA
Ikeda et al. (67, 68) encontraron que el Tc puede formar cuatro complejos diferentes con DMSA: (I) Tc(IV)-DMSA, (II) Tc(III)-DMSA, (III) Tc(V)-DMSA y (IV) Tc(VI)-DMSA. La formación de estos complejos depende del pH, la concentración de pertecnectato, y la relación Sn(II) / Sn(IV). Los complejos I y II se forman a pH bajo y los complejos III y IV a pH alto. Mediciones espectrofotométricas y estudios de titulación estequiométricos de la solución del pertecnectato-DMSA con SnCl2 mostraron que el complejo I fue formado espontáneamente y se identificó como 99mTc(IV)-DMSA. Estudios biológicos de localización revelaron que el complejo I se localiza en hueso y fue excretado en la orina con poca retención del riñón. Además, se demostró que el complejo I se convierte en complejo II en presencia de exceso de ion Sn(II) y ese complejo II (99mTc(III)-DMSA) se localiza principalmente en el riñón. Los complejos III y IV se forman por titulación de complejos I y II, respectivamente, a un pH alcalino. El complejo III es similar al complejo I, localizado principalmente en hueso, y los complejos II y IV se localizan en riñones (61). Los complejos I y II deben estar presentes principalmente en el kit radiofarmacéutico de Sn-DMSA debido al pH bajo (65). El máximo rendimiento del complejo II se encontró que es dependiente del pH, la concentración de oxígeno de la mezcla de reacción y el tiempo de incubación. La localización en riñón de los complejos preparados a un pH no se altera apreciablemente si el pH se cambia más tarde (6).
La reacción de marcaje de 99mTc-DMSA procede en dos pasos: la formación rápida de complejo I, seguida por una etapa más lenta de conversión hacia el complejo II. Ésta es la razón de la necesidad de un período de incubación de 10 minutos. El complejo II puede verse afectado por la presencia de oxígeno que actúa en la oxidación previa del par reductor Sn(II) /Sn(IV), lo que disminuye el potencial de reducción del sistema, y puede revertir una vez formado el complejo II al complejo I. Para disminuir la pérdida del poder reductor del sistema la preparación del complejo debe realizarse en atmósfera de N2 o Ar.
La captación disminuida del riñón ocurre porque el complejo I se excreta rápidamente del sistema. Además de la captación disminuida de riñón, se ha descrito que aumenta la actividad en hígado cuando una solución de 99mTc-DMSA se inyecta 20 minutos después de la adición de 1 mL de aire al vial de reacción. La inclusión de ácido ascórbico en los kits retarda esta oxidación (60). El kit liofilizado puede marcarse actualmente en el mercado con 3mL de pertecnectato, es estable por 4 horas siguientes a la preparación, y el pH final debe encontrarse entre 2 y 3 (Tabla 3) (51, 60).
El estudio analítico indica que los complejos de 99mTc-DMSA no contienen Sn, como un complejo mixto de metal del tipo Tc-Sn-DMSA. El análisis estructural preliminar por RMN sugiere que la estructura química del complejo que se localiza en riñón está constituido por un dímero que consta de un átomo de 99mTc rodeado por dos moléculas de DMSA (61).
Posibles alteraciones en la preparación de radiofármacos de DMSA
Durante la preparación de los radiofármacos tecneciados de DMSA pueden presentarse diferentes alteraciones, similares a la preparación de otros radiofármacos, motivadas por diversos factores. En este acápite se presentan algunas experiencias publicadas (84-89) y las valoraciones de los autores de este trabajo. Las impurezas radioquímicas originadas pueden alterar la correcta biodistribución del radiofármaco, produciendo imágenes de baja calidad. Estas impurezas son, en general, dependientes del tiempo y consecuencia de varios factores, como por ejemplo:
a) Incorrecta preparación del radiofármaco.
b) Interacciones con diversos agentes químicos presentes en el disolvente, generalmente originadas en el proceso de radiólisis.
c) Baja calidad del 99mTcO4Na en el eluato.
Entre las impurezas, se encuentran el 99mTcO4- (tecnecio “libre”) y especies de tecnecio reducidas - hidrolizadas (99mTc-ROH), entre otras. Éstas últimas producen un aumento de actividad en el sistema retículo - endotelial, siendo las más representativas, las siguientes:
- Dióxido de tecnecio (99mTcO2): compuesto insoluble que se produce por la hidrólisis del tecnecio reducido en solución acuosa. Este compuesto compite con el proceso de quelación del radiofármaco, disminuyendo el rendimiento de 99mTc-quelato. Su formación depende del pH, la duración de la hidrólisis y la presencia de otros agentes.
- Coloide de 99mTc-Sn: el cloruro de estaño, a pH próximo a 7 y en presencia de agua (humedad residual del liofilizado), puede también sufrir hidrólisis y competir con el agente quelante en el proceso de marcaje para formar un complejo 99mTc-hidróxido de estaño de naturaleza coloidal.
- En cuanto a los factores relacionados con el radionúclido, es importante tener en cuenta la relación 99Tc/99mTc presente en el eluato del generador de 99Mo/99mTc, lo cual está relacionado de forma directa con el tiempo (edad) del eluato, ya que la presencia de 99Tc conduce a un cálculo erróneo de la concentración de 99mTc necesaria para la preparación del radiofármaco, y entonces el reductor añadido no será suficiente.
En cuanto a los factores relacionados con los componentes, es de suma importancia que el Sn se encuentre en forma de Sn (II), así como la relación de los componentes que intervienen en la preparación debe cumplirse estrictamente.
En cuanto a los factores asociados con el procedimiento de preparación, se debe tener en cuenta el tiempo de incubación en el caso de la formación del radiofármaco 99mTc(III)-DMSA (tiempo después de incorporar el 99mTcO4Na al vial que contiene el ligando y los otros componentes) (90). Otro factor muy importante es la presencia de oxígeno en el proceso de formación de los radiofármacos de M-DMSA. El oxígeno favorece la formación de 99mTc(V)-DMSA a partir de 99mTc(III)-DMSA, mientras que este último debe prepararse en atmósfera de dinitrógeno.
Entre otros factores a mecionar cabe destacar la importancia del pH del medio según la formación de un determinado agente (tumoral o renal). Además, la presencia de preservantes como el ácido ascórbico, que evitan la degradación del ligando DMSA.
Control de calidad de los radiofármacos M-DMSA
La biodistribución de un determinado compuesto está condicionada por sus propiedades químico-físicas. Las impurezas radioquímicas y los radiofármacos son especies químicas distintas y por tanto sus propiedades químico-físicas también lo son, lo que explica sus diferentes localizaciones en el organismo. La captación de las impurezas radioquímicas en zonas no deseadas impedirá obtener imágenes de calidad y proporcionará una dosis de radiación innecesaria al paciente. Por ello, deben realizarse controles de calidad que permiten separar y cuantificar las impurezas radioquímicas y, de este modo, valorar si el radiofármaco tiene la pureza radioquímica adecuada.
Radiofármaco 99mTc(III)-DMSA
El control de la calidad contiene las pruebas siguientes principalmente (59, 60, 91):
- la determinación de la cantidad de DMSA, puede ser requerida por las regulaciones locales.
- la cantidad promedio de cloruro estañoso, debe ser menor del 50% del valor esperado de la reacción estequiométrica.
- la formulación no radiactiva debe disolverse fácilmente en solución salina, siendo límpida y transparente.
- el modelo de biodistribución típico de 99mTc(III)-DMSA en ratas, una hora post-inyección, es como sigue: ≥ 40 % de la dosis inyectada en riñones y la relación riñones / (hígado + bazo) no debe ser menor que 6 veces.
- La pureza radioquímica se determina mediante cromatografía ascendente en papel. Se emplea metil-etil-cetona como disolvente. El 99mTc en forma coloidal permanece en el punto de origen, junto con el radiofármaco 99mTc(III)-DMSA, y el ion 99mTcO4- migra junto al frente del solvente. En el cromatograma obtenido, no menos del 92 % de la radiactividad total se encuentra en la mancha correspondiente al 99mTc en forma coloidal (59, 90, 92).
Radiofármaco 99mTc(V)-DMSA
Los parámetros reportados son tomados de un informe de la OIEA, puesto que las farmacopeas disponibles no proveen información acerca de este radiofármaco (59).
- La pureza radioquímica se determina mediante cromatografía de capa delgada (TLC). Puede emplearse dos sistemas diferentes de disolventes: metil-etil-cetona, donde el 99mTc(V)-DMSA queda retenido en el punto de aplicación, y la mezcla n-butanol-ácido acético-agua (3:2:3) donde presenta un Rf de 0.7–0.8 (59).
- El modelo de biodistribución típico de 99mTc(V)-DMSA en ratas, una hora post-inyección es como sigue: < 10 % de la dosis inyectada en riñones y < 2 % en hígado.
Radiofármaco 186/188Re(V)-DMSA
Los parámetros reportados son tomados de un informe de la OIEA, puesto que las farmacopeas disponibles no proveen información acerca de este radiofármaco(23).
- La pureza radioquímica se determina mediante cromatografía de capa delgada (TLC). Se utiliza como fase estacionaria sílica-gel y fase móvil la mezcla n-propanol-ácido acético-agua (4:1:3), donde los productos de hidrólisis de 186/188Re quedan en el punto de aplicación, el 186/188ReO4- migra junto al frente del solvente y el radiofármaco presenta un valor de Rf ~ 0,6 (23).
- El ensayo de biodistribución se realiza en ratas Wistar donde se inyectan 0,2 mL del radiofármaco a través de la cola y se sacrifica una hora post-inyección para determinar el porcentaje de la dosis inyectada por órganos.
Conclusiones
Los complejos de 99mTc, 186/188Re-DMSA han sido empleados con éxito en la medicina nuclear por más de 30 años. Mientras que los complejos de Tc (III) y Tc (V) se aplican principalmente como radiofármacos para el diagnóstico mediante estudios estáticos del sistema renal y la detección de carcinomas medular de tiroides respectivamente, el complejo 186/188Re-DMSA se emplea en la radioterapia como agente paliativo del dolor inducido por metástasis ósea. Desde el punto de vista químico los complejos de Re son más estable que los de Tc, debido a las energías de sus orbitales enlazantes y presentan mayores potenciales de reducción, lo cual condiciona la preparación de uno u otro complejo.
En la actualidad, todavía existen interrogantes sobre la estructura y propiedades químicas de estos compuestos que, con más de 30 años de utilizacion, aún constituyen un reto para los investigadores de este campo. Por otra parte, también es necesario ampliar los estudios sobre los mecanismos de biodistribución, la identificación de isómero(s) con actividad biológica, su proceso de formación, así como la estructura de algunos de los complejos M-DMSA. El estudio de estos sistemas no ha perdido vigencia y puede constituir tema de numerosas investigaciones en los próximos años.
Referencias
- Staník R, SvetlíkI J, Benkovsky I. DMSA and its complexes with radioisotopes: review. J Radioanal Nucl Chem 2012;293:545–54.
- Ohta H, Yamamoto K, Endo K, Mori T, et al. A new imaging agent for medullary carcinoma of the thyroid. J Nucl Med 1984 25:323-5.
- Ohta H, Tsuji T, Endo K, Fujita T, et al. SPECT images using 99mTc(V)-DMS in lung metastasis of osteosarcoma. Ann Nucl Med 1989;3:37-40.
- Chauhan U P S, Babbar A, Kashyap R, Prakash R. Evaluation of a DMSA kit for instant preparation of 99mTc(V)-DMSA for tumour and metastasis scintigraphy. Nucl Med Biol 1992;19:825-30.
- Arnold R W, Subramanian G, McAfee J G, Blair R J, et al. Comparison of 99m-Tc complexes for renal imaging. J Nucl Med 1975;16:357-67.
- Kubiatowicz D O, Bolles T F, Nora J C, Ithakissios D S. Localization of low molecular weight Tc-99m labeled dimercaptodicarboxylic acids in kidney tissue. J Pharm Sci 1979;68:621-3.
- Vanlic-Razumenie N, Petrovie J, Gorkie D. Biochemical studies of the renal radiopharmaceutical compound dimercaptosuccinate. IV. Interaction of 99mTc-DMS and 99Tc-DMSA complexes with blood serum proteins. Eur J Nucl Med 1984;9:370-3.
- Blower P J, Lam A S K, O’Doherty M J, Kettle A G, et al. Pentavalent rhenium-188 dimercaptosuccinic acid for targeted radiotherapy: synthesis and preliminary animal and human studies. Eur J Nucl Med 1998;25:613-21.
- Bisunadan M M, Blower P J, Clarke S E M, Singh J, et al. Synthesis and characterization of [186Re]rhenium(v)dimercaptosuccinic acid: A possible tumour radiotherapy agent. Appl Radiat Isot 1991;42:167-71.
- Singh J, Powell A K, Clarkecand SEM, Blower PJ. Crystal structure and isomerism of a tumour targeting radiopharmaceutical: [ReO(DMSA)2]- ( H2DMSA = meso-2,3-dimercaptosuccinic acid). J Chem Soc Chem Commun 1991:1115 -7.
- Bolzati C, Boschi A, Uccelli L, Duatti A, et al. An alternative approach to the preparation of 188 Re radiopharmaceuticals from generator-produced [188 ReO 4]−: efficient synthesis of 188 Re (V)-meso-2, 3-dimercaptosuccinic acid. Nucl Med Biol 2000;27:309-14.
- Blower P J, Kettle A G, O’Doherty M J, Coakley A J, et al. 99mTc(V)DMSA quantitatively predicts 188Re(V)DMSA distribution in patients with prostate cancer metastatic to bone. Eur J Nucl Med 2000;27:1405-9.
- Blower PJ, Singh J, Clarke SEM. The chemical identity of pentavalent technetium-99m-dimercaptosuccinic acid. J. Nucl. Med 1991;32:845-9.
- Benkovsky I, Staník R. 99mTc-DMSA complex preparation: the effect of pH and tin(II) chloride amount on reaction. J Radioanal Nucl Chem 2010;284:231-7.
- Staník R, SvetlíkI J, Karlovska J, Benkovsky I. Importance of DMSA stability, its consequence for Sn(DMSA)2 complex formation and relevance to 99mTc-DMSA radipharmacs preparation. J Radioanal Nucl Chem 2011;289:909-14.
- Garnuszek P, Pawlak D, Maurin M, Jankovic D, et al. Comparison of chromatographic methods for quality control of DMSA complexes with 99mTc and 188Re at (III) and (V) oxidation states. Nucl Med Rev 2012;15:95-100.
- Staník R, Benkovsky I, Svetlík J, Galba J, et al. The identity confirmation of 99gTc-DMSA complexes by using NMR and HPLC–MS/MS methods. J Radioanal Nucl Chem 2013;295:2163-70.
- Alberto R, Metal-based radiopharmaceuticals, in: Bioinorganic Medicinal Chemistry, E. Alessio, Editor. 2011, Wiley-VCH: Weinheim. p. 253-282.
- Alberto R. Application of technetium and rhenium in nuclear medicine. COSMOS 2012;8:83-101.
- Bartholoma M D, Louie A S, Valliant J F, Zubieta J. Technetium and gallium derived radiopharmaceuticals: Comparing and contrasting the chemistry of two important radiometals for the molecular imaging era. Chem Rev 2010;110:2903-20.
- Handbook of radiopharmaceuticals: Radiochemistry and applications. 2003, Chichester: Wiley & Sons. 848.
- Schwochau K, Technetium. Chemistry and Radiopharmaceutical Applications. 2000, Weinhcim, Germany.: WILEY-VCH. 445.
- Yttrium-90 And Rhenium-188 Radiopharmaceuticals For Radionuclide Therapy. IAEA Radioisotopes and Radiopharmaceuticals 2015, Vienna, Austria: IAEA in Austria 320.
- Deutsch E, Libson K, Vanderheyden J-L, Ketring A R, et al. The Chemistry of Rhenium and Technetium as related to the use of isotopes of these elements in therapeutic and diagnostic nuclear medicine. Nucl Med Biol 1986;13:405-11.
- Blower PJ, Lam ASK, O’Doherty MJ, Kettle AG, et al. Pentavalent rhenium-188 dimercaptosuccinic acid for targeted radiotherapy: synthesis and preliminary animal and human studies. Eur J Nucl Med 1998;25:613-21.
- Singh J, Powell A K, Clarke SEM, Blower PJ. Crystal structure and isomerism of a tumour targeting radiopharmaceutical: [ReO(dmsa)2]- ( H2dmsa = meso-2,3-dimercaptosuccinic acid). J Chem Soc, Chem Commun 1991:1115-7.
- Pearson RG. Absolute electronegativity and hardness correlated with molecular orbital theory. Proc Nati Acad Sci USA 1986;83:8440-1.
- Moretti JL, Rapin JR, Saccavin JC, Lageron A, et al. 2,3-dimercaptosuccinic-acid chelates-l. Structure and pharmacokinetic studies. Int J Nucl Med Biol 1984;11:270-4.
- Aposhian HV, Maiorino RM, Rivera M, Bruce DC, et al. Human studies with the chelatxng agents, DMPS and DMSA. Clin Toxicol 1992;30:505-28.
- Maiorino RM, Akins JM, Blaha K, Carter DE, et al. Determination and metabolism of dithiol chelating agents: X. J Pharmacol Exp Therapeutic 1990;254:571-7.
- Aposhian HV, Maiorino RM, Dart RC, Perry DF. Urinary excretion of meso-2, 3 -dimercaptosuccinic acid in human subjects. Clin Pharmacol Ther 1989;45:520.
- Maiorino RM, Bruce DC, Aposhian HV. Determination and metabolism of dithiol chelating agents. Toxicol Appl Pharmacol 1989;97:338-49.
- Maiorino RM, Barry TJ, Aposhian HV. Determination and metabolism of dithiol-chelating agents: Electrolytic and Chemical Reduction of Oxidized Dithiols in Urine. Analytical Biochemistry 1987;160:217-26.
- Maiorino RM, Weber GL, Aposhian HV. Fluorometric determination of 2,3-dimercaptopropane-1-sulfonic acid and other dithiols by precolumn derivatization with bromobimane and column liquid chromatography. J Chromatogr 1986;374:297-310.
- Aposhian HV, Carter DE, Hoover TD, Hsu C-A, et al. DMSA, DMPS, and DMPA—as Arsenic Antidotes. Fund Appl Toxicol 1984;4:S58-S70.
- Owen LN, Sultanbaw US. OleJinic Acids. Part VII. The Addition of Thiols to Pro piolic and Acet ylenedicarboxylic Acid. J Chem Soc 1946;0:3109.
- Gerecke M, Friedheim EAH, Brossi A. Zur Kenntnis der 2,3-Dimercapto-bernsteinsaure. Helv Chim Acta 1961;44:955.
- Jones MM, Singh PK, Kostia K, Blanuga M, et al. Comparative in vivo lead mobilization of meso- and rac-2,3-Dimercaptosuccinic Acids in albino Wistar rats. Pharmacol Toxicol 1997;80:182-6.
- Aposhian H V. DMSA and DMPS-water soluble antidotes for heavy metal poisoning. Ann Rev Pharmacol Toxicol 1983;23:193-215.
- Staník R, Světlík J, Benkovský I. DMSA and its complexes with radioisotopes: review. J Radioanal Nucl Chem 2012;293:545-54.
- Fang X, Fernando Q. Stereoisomeric selectivity of 2,3-Dimercaptosuccinic acids in chelation therapy for lead poisoning. Chem Res Toxicol 1995;8:525-36.
- Vukicevic NS, Razumenic NMV. Studies of the formation of DMSA complexes with bivalent tin. Determination of dissociation constants and thermodynamic values of 2,3- dimercaptosuccinic acid. Polyhedron 1989;8:2809-12.
- Aragoni MC, Arca M, Crisponi G, Cristiani F, et al. Characterization of the ionization and spectral properties of mercapto-carboxylic acids Correlation with substituents and structural features. Talanta 1996;43:1357-66.
- Crisponi G, Cristiani F, Nurchi VM, Pinna R. Equilibrium study on Pd(II) chelates of mercapto carboxylic acids. Polyhedron 1999;18:3257-62.
- Chen ZP, Zhang Y, Zhang S, Xia JG, et al. Preparation and characterization of water-soluble monodisperse magnetic iron oxide nanoparticles via surface double-exchange with DMSA. Colloids and Surfaces A: Physicochem Eng Aspects 2008;316:210-6.
- Wille K, Moran JK, Roundhill DM. Mercury and methylmercury complexes of the L-Butyl And L-Hexadecyl esters of L-Cysteine and 2,3-Dimercaptosuccinic acid. Polyhedron 1990;9:597-601.
- Smith E, Dent G. Modern Raman spectroscopy: a practical approach., L. John Wiley & Sons. 2005, Chichester, England. 217.
- Staník R, Světlík J, Karlovská J, and Benkovský I. Importance of DMSA stability, its consequence for Sn(DMSA)2 complex formation and relevance to 99mTc-DMSA radipharmacs preparation. J Radioanal Nucl Chem 2011;289:909-14.
- Ju XH, Shi Y, Liu N, Guo RC, et al. Determination of 2,3-dimercaptosuccinic acid in mice blood and tissues by HPLC with fluorescence detection. J Chromatogr B 2009;877:1621-6.
- Lever S Z and Parsons T L. The presence of lead decreases the availability of meso-2,3-Dimercaptosuccinic acid for analysis in the monobromobimane assay. Chem Res Toxicol 1999;12:1057-65.
- Hashimoto K, Yoshihara K. Rhenium complexes labeled with 186,188Re for Nuclear Medicine. Topics in Current Chemistry 1996;176:278-92.
- Read JF, Adams EK, Gass HJ, Shea SE, et al. The kinetics and mechanism of oxidation of 3-mercaptopropionic acid, 2-mercaptoethanesulfonic acid and 2-mercaptobenzoic acid by potassium ferrate. Inorganic Chimi Acta 1998;281:43-52.
- Aposhian HV, Mershon MM, Brinkley FB, Hsu C-A, et al. Anti-lewisite activity and stability of meso-dimercaptosuccinic acid and 2,3-dimercapto-1-propanesulfonic acid. Life Sci 1982;31:2149-56.
- Benkovský I and Staník R. 99mTc-DMSA complex preparation: the effect of pH and tin(II) chloride amount on reaction. J Radioanal Nucl Chem 2010;284:231-7.
- Westera G, Gadze A, Horst W. A convenient method for the preparation of 99mTc(v)dimercaptosuccinic acid (99mTc(V)_DMSA). Int J Appl Radiat Isot 1985;36:311-2.
- Hirano T, Tomiyoshi K, Zhang YJ, Ishida T, et al. Preparation and clinical evaluation of technetium-99m dimercaptosuccinic acid for tumour scintigraphy. Eur J Nucl Med 1994;21:82-5.
- Washburn LC, Biniakiewicz DS, III HRM. Reliable preparation of 99mTc(V)DMSA by a simple modified method using a commercial kit for 99mTc(III)DMSA. Nucl Med Biol 1995 22:689-91.
- Mushtaq A, Pervez S, Haider I, Mansur MS, et al. A freeze dried kit for 99mTc(V)-dimercaptosuccinic acid. J Radioanal Nucl Chem 2000;243:827-9.
- Technetium-99m Radiopharmaceuticals: Manufacture of kits. IAEA Technical Reports. Vol. 202. 2008, Vienna, Austria.
- Agencia Española del Medicamento M d S y C, Real Farmacopea Española. Tecnecio (99mTc) y Succímero, Disolución Inyectable. Segunda Edición 2011, Madrid, España: Imprenta Nacional del Boletín Oficial del Estado.
- Ikeda I, Inoue O, Kurata K. Preparation of various Tc-99m dimercaptosuccinate complexes and their evaluation as radiotracers. J Nucl Med 1977;18:1222-9.
- Lisic EC, Mirzadeh S, Knapp F. Synthesis of carrier‐free rhenium‐188 (V) DMSA using triphenyl phosphine as a facile reducing agent. J Label Comp Radiopharm 1993;33:65-75.
- Brambilla TP, Osso Junior JA. Labeling procedures for the preparation of 188 Re-DMSA (V). In: International Nuclear Atlantic Conference - INAC. 2009: Rio de Janeiro,Brazil.
- Brambilla TdP, Desenvolvimento de métodos para marcação de DMSA pentavalente com 99m Tc e 188 Re. 2009, Universidade de São Paulo.
- Vanlic-Razumenic N, Petrovic J. Preparation of technetium-99-DMSA renal complex in solution and its chemical and biological characterization. Int J Appl Radiat Isot 1982;33:277-84.
- Rivera M, Aposhian HV, Fernando Q. Lead chelates of meso- and racemic- dimercaptosuccinic acid. J Inorg Biochem 1989;37:283-93.
- Aposhian HV. Meso-2,3-Dimercaptosuccinic acid: Chemical, pharmacological and toxicological properties of an orally effective metal chelating agent. Allnu Rev Pharmacol Toxicol 1990;30:279-306.
- Jones MM, Singh PK, Kostia K, Blanuga M, et al. Comparative in vivo lead mobilization of meso- and rac=2,3-dimercaptosuccinic acids in albino Wistar rats Pharmacol Toxicol 1997;80:182-6.
- Yee CA, Lee HB, Blaufox MD. 99m-Tc-DMSA renal uptake: Influence of biochemical and physiologic factors. J Nucl Med 1981;22:1054.
- Vanlid-Razumenic N, Petrovic J. Biochemical studies of the renal radiopharmaceutical compound Dimercaptosuccinate. Eur J Nucl Med 1981;6:169-72
- Technetium-99m Radiopharmaceuticals: Manufacture of Kits. IAEA Technical Reports Series 2008, Vienna, Austria, 202.
- Herzog KM, Deutsch E, Deutsch K, Silberstein EB, et al. Synthesis and renal excretion of technetium-99m-labeled organic cations. J Nucl Med 1992;33:2190-5.
- Moran JK. Technetium-99m-EC and other potential new agents in renal nuclear medicine. Sem Nucl Med 1999. Elsevier.
- Lee BF, Yeh JL, Chiu NT, Liu GC, et al. Evaluation of Tc-99m(V) DMSA binding to human plasma proteins. Kaohsiung J Med Sci 2008;24.
- Horiuchi K, Saji H, Yokoyama A. pH sensitive properties of Tc(V)-DMS: Analytical and in vitro cellular studies. Nucl Med Biol 1998;25:689-95.
- Palmedo H, Hensel J, Bender H, Wagner U, et al. 18F-FDG, 99mTc-(V) DMSA and 99mTc-MIBI in an animal breast cancer-model: comparison of tumor-uptake and correlation with scintigraphic and PET-detection. Eur J Nucl Med 2000;27:1130.
- Palmedo H, Schomburg A, Grunwald F, Mallmann P. Technetium-99m-MIBI scintimammography for suspicious breast lesions. J Nucl Med 1996;37:626.
- Denoyer D, Perek N, Le Jeune N, Frere D, et al. Evidence that 99mTc-(V)-DMSA uptake is mediated by NaPi cotransporter type III in tumour cell lines. Eur J Nuci Med Molec Imag 2004;31:77-84.
- Werner A, Dehmelt L, Nalbant P. Na+-dependent phosphate cotransporters: the NaPi protein families. J Experim Biol 1998;201:3135-42.
- Fernandes I, Béliveau R, Friedlander G, Silve C. NaPO4 cotransport type III (PiT1) expression in human embryonic kidney cells and regulation by PTH. Am J Physiol Renal Physiol 1999;277:F543-F551.
- Biber J, Custer M, Magagnin S, Hayes G, et al. Renal Na/Pi-cotransporters. Kidney International 1996;49:981-5.
- Al-Saeedi F. Role of 99mTc-(V) DMSA in detecting tumor cell proliferation. Analyt Chem Insights 2007;2:81.
- Yokoyama A, Hata N, Horiuchi K, Masuda H, et al. The design of a pentavalent 99mTc- Dimercaptosuccinate complex as a tumor imaging agent. Int J Nucl Med Biol 1985;12:273-9.
- Chilton HM. Letter to the editor: Light-sensitive cold kits and radiopharmaceuticals: Hepatolite. J Nucl Med Technol 1994;22:261.
- Hung JC, Ponto JA, Hammes RJ. Radiopharmaceutical-related pitfalls and artifacts. Sem Nucl Med 1996.
- Meyer G-J. General guidelines for the quality assurance and quality control of short-lived radiopharmaceuticals. In: Progress in Radiopharmacy 1992, Springer. p. 181-188.
- Saha GB, Fundamentals of nuclear pharmacy. Sixth Edition 2010, New York: Springer. 409.
- Theobald T. Sampson's textbook of radiopharmacy. 2010: Pharmaceutical Press.
- Smal F, Englebienne P. Dimercaptosuccinic acid-Tc99m: Preparation and biodistribution in rats (CEA-CR--8). Raynaud, C. (Ed.). France, 1976.
- Ikeda I, Inoue O, Kurata K. Chemical and biological studies on Tc-99m DMS-II: Effect of Sn(II) on the formation of various Tc-DMS complexes. Int J Appl Radiat Isot 1976;27:681-8.
- British Pharmacopoeia. 2011, London: The Stationery Office on behalf of the Medicines and Healthcare products Regulatory Agency (MHRA).
- Ikeda I, Inoue O, Kurata K. Chemical and biologicaI studies on 99mTc-DMS-I: Formation of complexes by four different methods. Inter J Nucl Med Biol 1977;4:56-65.